Hỗ trợ tư vấn
Tư vấn - Giải đáp - Hỗ trợ đặt tài liệu
Mua gói Pro để tải file trên Download.vn (không bao gồm tài liệu cao cấp) và trải nghiệm website không quảng cáo
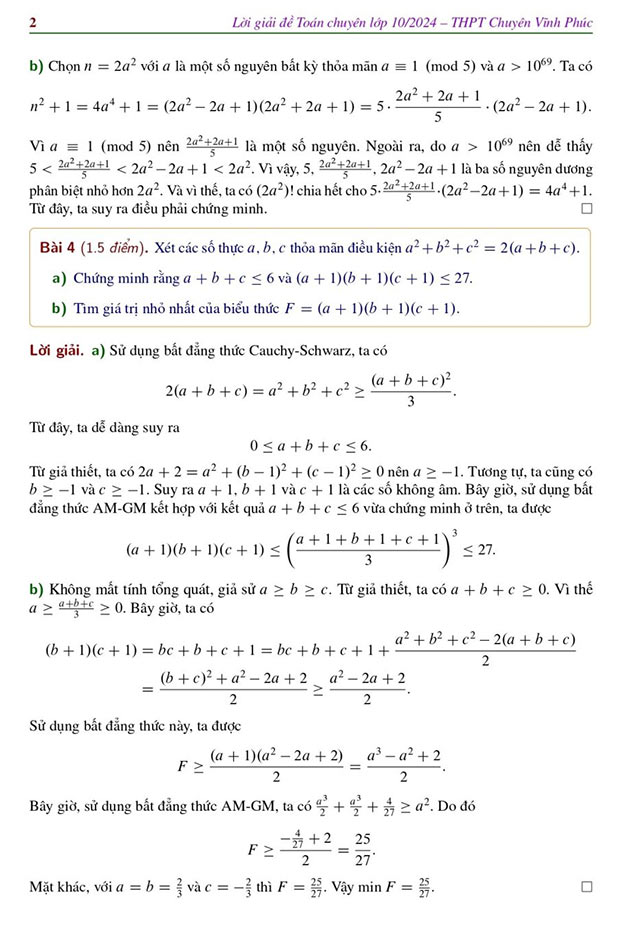
Tìm hiểu thêm »Đề thi vào lớp 10 trường THPT Chuyên Vĩnh Phúc năm 2024 - 2025, giúp các em học sinh tham khảo với bài thi của mình thuận tiện hơn. Đề thi môn Toán Chuyên dành cho thí sinh thi chuyên Toán và chuyên Tin.
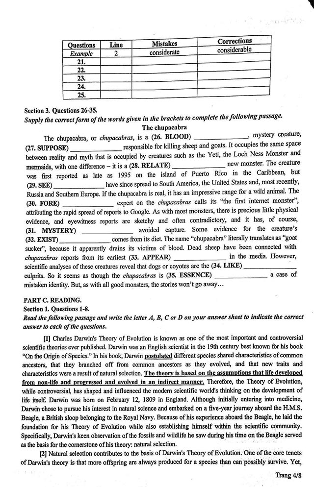
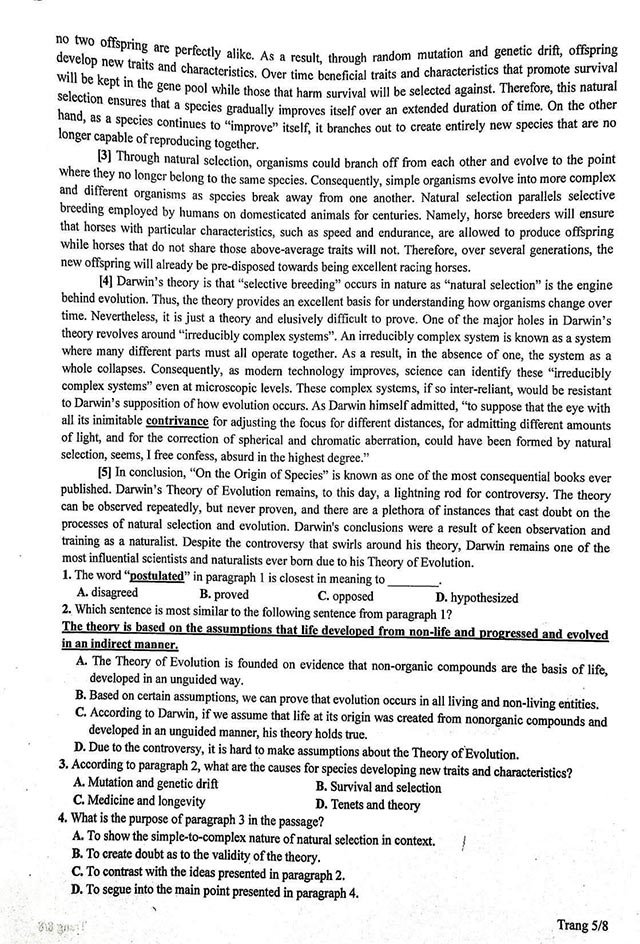
Đề thi vào 10 môn Văn, Tin, Sử, Địa, Tiếng Anh, Toán Chuyên Vĩnh Phúc giúp những trường chưa thi nắm được cấu trúc đề thi, các dạng bài thường gặp trong đề thi để chủ động ôn thi vào 10 năm 2024 - 2025 hiệu quả hơn. Vậy mời các em cùng theo dõi bài viết dưới đây của Download.vn để chủ động hơn:


















Theo Nghị định 147/2024/ND-CP, bạn cần xác thực tài khoản trước khi sử dụng tính năng này. Chúng tôi sẽ gửi mã xác thực qua SMS hoặc Zalo tới số điện thoại mà bạn nhập dưới đây: