Hỗ trợ tư vấn
Tư vấn - Giải đáp - Hỗ trợ đặt tài liệu
Mua gói Pro để tải file trên Download.vn (không bao gồm tài liệu cao cấp) và trải nghiệm website không quảng cáo
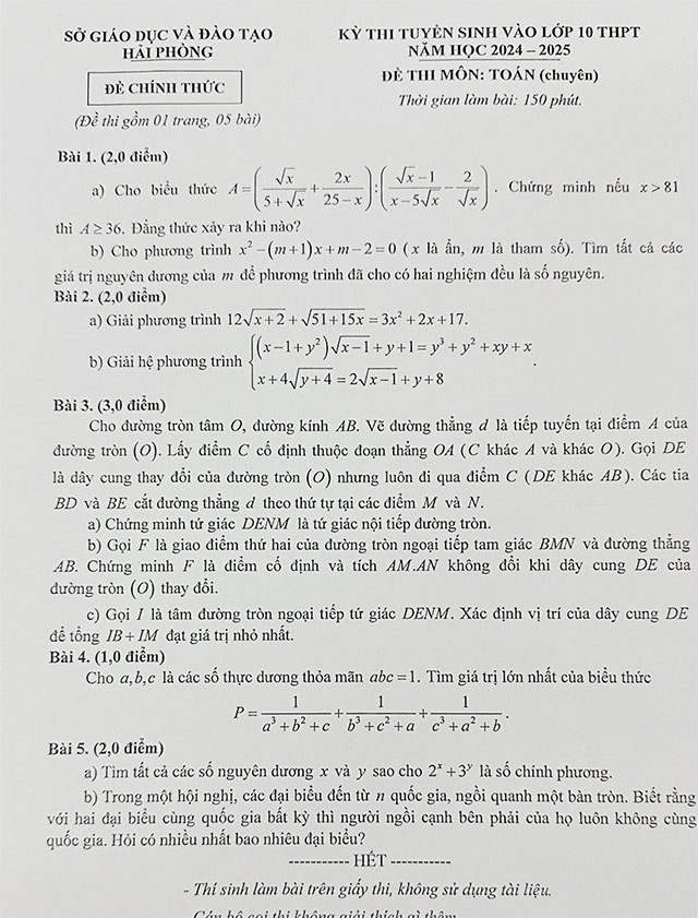
Tìm hiểu thêm »Đề thi vào lớp 10 môn Toán trường THPT Chuyên Hải Phòng năm 2024 - 2025, giúp các em học sinh tham khảo với bài thi của mình thuận tiện hơn. Đề thi Toán chuyên Hải Phòng có 5 câu hỏi, với thời gian làm bài là 150 phút.
Đề thi vào 10 môn Toán Hải Phòng giúp những trường chưa thi nắm được cấu trúc đề thi, các dạng bài thường gặp trong đề thi để chủ động ôn thi vào 10 năm 2024 - 2025 hiệu quả hơn. Ngoài ra, có thể tham khảo thêm đề thi môn Văn Chuyên. Vậy mời các em cùng theo dõi bài viết dưới đây của Download.vn để chủ động hơn:






Theo Nghị định 147/2024/ND-CP, bạn cần xác thực tài khoản trước khi sử dụng tính năng này. Chúng tôi sẽ gửi mã xác thực qua SMS hoặc Zalo tới số điện thoại mà bạn nhập dưới đây: