Hỗ trợ tư vấn
Tư vấn - Giải đáp - Hỗ trợ đặt tài liệu
Mua gói Pro để tải file trên Download.vn (không bao gồm tài liệu cao cấp) và trải nghiệm website không quảng cáo
Tìm hiểu thêm »
SỞ GIÁO DỤC VÀ ĐÀO TẠO
|
KỲ THI TUYỂN SINH VÀO LỚP 10 HỆ CÔNG LẬP
|
Câu 1: (2 điểm)
Bài 1: (1điểm) Rút gọn các biểu thức sau:

Bài 2: (1 điểm)
Cho biểu thức ![]()
a) Tìm điều kiện để biểu thức A có nghĩa.
b) Rút gọn biểu thức A.
Câu 2: (2 điểm)
Cho hàm số (P): y = x2
a) Vẽ đồ thị hàm số trên.
b) Tìm m để đường thẳng y = 2x + m cắt đồ thị hàm số y = x2 tại hai điểm phân biệt.
Câu 3: (2 điểm)
a) Giải phương trình: 2x2 + 3x - 5 = 0
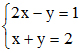
b) Giải hệ phương trình: 
c ) Tìm m để phương trình x2 – 4x – m = 0 (ẩn x) có hai nghiệm phân biệt x1, x2 thỏa x12 + x22 = 10
Câu 4: (4 điểm)
Từ điểm M nằm ngoài đường tròn (O,R) sao cho OM = 3R, vẽ các tiếp tuyến MA, MB với đường tròn (O,R) (A, B là các tiếp điểm).
a) Chứng minh: Tứ giác MAOB nội tiếp và OM là đường trung trực của đoạn AB.
b) Tính độ dài đoạn thẳng MA, AB theo R.
c) Vẽ dây AC song song MB, đường thẳng MC cắt đường tròn (O,R) tại điểm thứ hai là D, tia AD cắt MB tại E. Chứng minh: E là trung điểm của đoạn MB.
Download tài liệu để xem thêm chi tiết.
Theo Nghị định 147/2024/ND-CP, bạn cần xác thực tài khoản trước khi sử dụng tính năng này. Chúng tôi sẽ gửi mã xác thực qua SMS hoặc Zalo tới số điện thoại mà bạn nhập dưới đây: