Đề thi tuyển sinh lớp 10 THPT TP Hồ Chí Minh năm học 2013 - 2014 môn Toán Sở GD-ĐT TP HCM

SỞ GIÁO DỤC VÀ ĐÀO TẠO
TP HỒ CHÍ MINH

ĐỀ CHÍNH THỨC

KỲ THI TUYỂN SINH LỚP 10 THPT
NĂM HỌC 2013 – 2014

MÔN THI: TOÁN
Thời gian làm bài: 60 phút (không kể thời gian giao đề)
Ngày: 21/06/2013

Bài 1: (2 điểm)

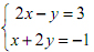
Giải các phương trình và hệ phương trình sau:

a) x2 - 5x + 6 = 0

b) x2 - 2x - 1 = 0

c) x4 + 3x2 - 4 = 0

d)

Bài 2: (1,5 điểm)

a) Vẽ đồ thị (P) của hàm số y = x2 và đường thẳng (D): y = -x + 2 trên cùng một hệ trục toạ độ.

b) Tìm toạ độ các giao điểm của (P) và (D) ở câu trên bằng phép tính.

Bài 3: (1,5 điểm)

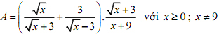
Thu gọn các biểu thức sau:

Bài 4: (1,5 điểm)

Cho phương trình 8x2 - 8x + m2 + 1 = 0 (*) (x là ẩn số)

a) Định m để phương trình (*) có nghiệm x = 1/2

b) Định m để phương trình (*) có hai nghiệm x1, x2 thỏa điều kiện: x14 - x24 = x13 - x23

Bài 5: (3,5 điểm)

Cho tam giác ABC không có góc tù (AB < AC), nội tiếp đường tròn (O; R). (B, C cố định, A di động trên cung lớn BC). Các tiếp tuyến tại B và C cắt nhau tại M. Từ M kẻ đường thẳng song song với AB, đường thẳng này cắt (O) tại D và E (D thuộc cung nhỏ BC), cắt BC tại F, cắt AC tại I.

a) Chứng minh rằng MBC = BAC. Từ đó suy ra MBIC là tứ giác nội tiếp.

b) Chứng minh rằng: FI.FM = FD.FE.

c) Đường thẳng OI cắt (O) tại P và Q (P thuộc cung nhỏ AB). Đường thẳng QF cắt (O) tại T (T khác Q). Chứng minh ba điểm P, T, M thẳng hàng.

d) Tìm vị trí điểm A trên cung lớn BC sao cho tam giác IBC có diện tích lớn nhất.

Download tài liệu để xem thêm chi tiết

Chia sẻ bởi:
Liên kết tải về
Tìm thêm: Toán 9
Xác thực tài khoản!

Theo Nghị định 147/2024/ND-CP, bạn cần xác thực tài khoản trước khi sử dụng tính năng này. Chúng tôi sẽ gửi mã xác thực qua SMS hoặc Zalo tới số điện thoại mà bạn nhập dưới đây:

Số điện thoại chưa đúng định dạng!
Số điện thoại này đã được xác thực!
Bạn có thể dùng Sđt này đăng nhập tại đây!
Lỗi gửi SMS, liên hệ Admin
Sắp xếp theo
👨
Đóng
Chỉ thành viên Download Pro tải được nội dung này! Download Pro - Tải nhanh, website không quảng cáo! Tìm hiểu thêm
Nhắn tin Zalo