Hỗ trợ tư vấn
Tư vấn - Giải đáp - Hỗ trợ đặt tài liệu
Mua gói Pro để tải file trên Download.vn (không bao gồm tài liệu cao cấp) và trải nghiệm website không quảng cáo
Tìm hiểu thêm »
SỞ GIÁO DỤC VÀ ĐÀO TẠO
|
ĐỀ THI TUYỂN SINH LỚP 10 THPT
|
Bài 1 (1 điểm)
Rút gọn: 
Bài 2 (1 điểm)
Rút gọn biểu thức: ![]()
Bài 3 (1 điểm)
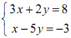
Không dùng máy tính cầm tay, hãy giải hệ phương trình: 
Bài 4 (1 điểm)
Không dùng máy tính cầm tay, hãy giải phương trình: 2013x2 + x - 2012 = 0
Bài 5 (1 điểm)
Cho hàm số y = (3 - 2m)x2 với m # 3/2. Tìm giá trị của m để hàm số đồng biến khi x < 0
Bài 6 (1 điểm)
Cho phương trình x2 + 3x - 7 = 0 (1). Gọi x1, x2 là hai nghiệm phân biệt của phương trình (1). Không giải phương trình hãy tính giá trị của biểu thức F = x12 - 3x2 - 2013.
Bài 7 (1 điểm)
Cho tam giác ABC vuông tại A, đường cao AH. Biết cosBAH = 2/5, cạnh huyền BC = 10 cm. Tính độ dài cạnh góc vuông AC.
Bài 8 (1 điểm)
Cho đường tròn (O), từ điểm M nằm ngoài (O) kẻ hai tiếp tuyến MA, MB với đường tròn (O) (A, B là tiếp điểm). Kẻ tia Mx nằm giữa hai tia MO và MA, tia Mx cắt (O) tại C và D. Gọi I là trung điểm của CD, đường thẳng OI cắt đường thẳng AB tại N. Gọi H là giao điểm của AB và MO. Chứng minh tứ giác MNIH nội tiếp được trong một đường tròn.
Bài 9 (1 điểm)
Cho tam giác ABC cân tại A có AB = 15cm, đường cao AH = 9cm. Tính bán kính đường tròn ngoại tiếp tam giác ABC.
Bài 10 (1 điểm)
Hai đường tròn (O1; 6,5cm) và (O2; 7,5cm) cắt nhau tại A và B. Tính độ dài đoạn nối tâm O1O2 biết AB = 12cm.
Download tài liệu để xem thêm chi tiết.
Theo Nghị định 147/2024/ND-CP, bạn cần xác thực tài khoản trước khi sử dụng tính năng này. Chúng tôi sẽ gửi mã xác thực qua SMS hoặc Zalo tới số điện thoại mà bạn nhập dưới đây: