Hỗ trợ tư vấn
Tư vấn - Giải đáp - Hỗ trợ đặt tài liệu
Mua gói Pro để tải file trên Download.vn (không bao gồm tài liệu cao cấp) và trải nghiệm website không quảng cáo
Tìm hiểu thêm »
SỞ GIÁO DỤC VÀ ĐÀO TẠO
|
KỲ THI TUYỂN SINH VÀO LỚP 10 THPT
|
MÔN THI: TOÁN - MÃ ĐỀ: 011
Thời gian làm bài: 150 phút (không kể thời gian giao đề)
--------------------------------------------------------------------------------
Câu 1: (2,0 điểm)
Cho biểu thức: ![]()
a) Rút gọn biểu thức A.
b) Tìm tất cả các giá trị nguyên của x để biểu thức A có giá trị nguyên.
Câu 2: (1,5 điểm)
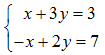
Giải hệ phương trình sau: 
Câu 3: (2,0 điểm)
a) Giải phương trình: x2 - 2x - 3 = 0
b) Cho phương trình bậc hai: x2 - 2x + m = 0 (m là tham số).
Tìm m để phương trình có hai nghiệm x1, x2 và thoả mãn: x12 + x22 = 8
Câu 4: (1,0 điểm)
Cho các số thực a, b thoả mãn: a + b = 2
Tìm giá trị nhỏ nhất của biểu thức: P = a3 + b3 + a2 + b2.
Câu 5: (3,5 điểm)
Cho tam giác ABC đều có AH là đường cao, M là điểm bất kì trên cạnh BC (M khác B, C). Từ M vẽ MP vuông góc AB, MQ vuông góc AC (P thuộc AB, Q thuộc AC).
a) Chứng minh: A, P, M, H, Q cùng nằm trên một đường tròn.
b) Gọi O là trung điểm của AM. Chứng minh các tam giác OPH và OQH là tam giác đều, từ đó suy ra OH vuông góc PQ.
c) Tìm giá trị nhỏ nhất của đoạn PQ khi M chạy trên cạnh BC, biết độ dài cạnh của tam giác ABC là a.
Download tài liệu để xem thêm chi tiết
Theo Nghị định 147/2024/ND-CP, bạn cần xác thực tài khoản trước khi sử dụng tính năng này. Chúng tôi sẽ gửi mã xác thực qua SMS hoặc Zalo tới số điện thoại mà bạn nhập dưới đây: