Hỗ trợ tư vấn
Tư vấn - Giải đáp - Hỗ trợ đặt tài liệu
Mua gói Pro để tải file trên Download.vn (không bao gồm tài liệu cao cấp) và trải nghiệm website không quảng cáo
Tìm hiểu thêm »
SỞ GIÁO DỤC VÀ ĐÀO TẠO
|
KÌ THI TUYỂN SINH VÀO LỚP 10 THPT
|
MÔN THI: TOÁN
Thời gian làm bài: 120 phút (không kể thời gian giao đề)
--------------------------------------------------------------------------------
Bài 1: (1,5 điểm)
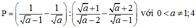
Cho biểu thức 
1) Rút gọn P.
2) Tính giá trị của P khi a = 9.
Bài 2: (1,5 điểm)
1) Giải phương trình: x2 - 5x + 4 = 0
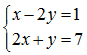
2) Không dùng máy tính, giải hệ phương trình sau: 
Bài 3: (1,5 điểm)
Cho parabol (P): y = x2 và đường thẳng (d): y = 2x + m.
1) Vẽ parabol (P).
2) Tìm m để đường thẳng (d ) cắt parabol (P) tại hai điểm.
Bài 4: (1,5 điểm)
Cạnh huyền của một tam giác vuông bằng 10cm, hai cạnh góc vuông hơn kém nhau 2cm. Tính các cạnh góc vuông của tam giác vuông đó.
Bài 5: (4,0 điểm)
Trên đường tròn (O, R) đường kính AB, lấy hai điểm M, E theo thứ tự A, M, E, B. Hai đường thẳng AM và BE cắt nhau tại điểm C, AE và BM cắt nhau tại điểm D.
1) Chứng minh MCED là một tứ giác nội tiếp.
2) Gọi H là giao điểm của CD và AB. Chứng minh BE.BC = BH.BA.
3) Cho góc CAB = 60o, tính thể tích của hình do quay quanh cạnh MB sinh ra.
4) Chứng minh các tiếp tuyến tại M và E của đường tròn (O) cắt nhau tại một điểm nằm trên đường thẳng CD.
Download tài liệu để xem thêm chi tiết
Theo Nghị định 147/2024/ND-CP, bạn cần xác thực tài khoản trước khi sử dụng tính năng này. Chúng tôi sẽ gửi mã xác thực qua SMS hoặc Zalo tới số điện thoại mà bạn nhập dưới đây: