Hỗ trợ tư vấn
Tư vấn - Giải đáp - Hỗ trợ đặt tài liệu
Mua gói Pro để tải file trên Download.vn (không bao gồm tài liệu cao cấp) và trải nghiệm website không quảng cáo
Tìm hiểu thêm »
SỞ GIÁO DỤC VÀ ĐÀO TẠO
|
KỲ THI TUYỂN SINH LỚP 10 THPT
|
Bài I (2,5 điểm)
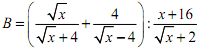
1) Cho biểu thức
. Tính giá trị của biểu thức A khi x = 36.
2) Rút gọn biểu thức
(với x ≥ 0, x ≠ 16).
3) Với các biểu thức A và B nói trên, hãy tìm các giá trị nguyên của x để giá trị của biểu thức B(A – 1) là số nguyên.
Bài II (2,0 điểm)
Giái bài toán sau bằng cách lập phương trình hoặc hệ phương trình:
Hai người cùng làm chung một công việc trong 12/5 giờthì xong. Nếu mỗi người làm một mình thì thời gian để người thứ nhất hoàn thành công việc ít hơn người thứ hai là 2 giờ. Hỏi nếu làm một mình thì mỗi người phải làm trong bao nhiêu giờ để xong công việc?
Bài III (1,5 điểm)
1) Giải hệ phương trình
2) Cho phương trình: x2 - (4m - 1)x + 3m2 - 2m = 0 (ẩn x). Tìm m để phương trình có hai nghiệm phân biệt x1, x2 thỏa mãn điều kiện x12 + x22 = 7
Bài IV (3,5 điểm)
Cho đường tròn (O; R) đường kính AB. Bán kính CO vuông góc với AB, M là điểm bất kì trên cung nhỏ AC (M khác A và C), BM cắt AC tại H. Gọi K là hình chiếu của H trên AB.
1) Chứng minh tứ giác CBKH là tứ giác nội tiếp.
2) Chứng minh góc ACM = góc ACK
3) Trên đoạn thẳng BM lấy điểm E sao cho BE = AM. Chứng minh tam giác ECM là tam giác vuông cân tại C.
4) Gọi d là tiếp tuyến của đường tròn (O) tại điểm A. Cho P là một điểm nằm trên d sao cho hai điểm P, C nằm trong cùng một nửa mặt phẳng bờ AB và
. Chứng minh đường thẳng PB đi qua trung điểm của đoạn thẳng HK.
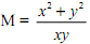
Bài V (0,5 điểm)
Với x, y là các số dương thỏa mãn điều kiện x ≥ 2y, tìm giá trị nhỏ nhất của biểu thức
.
Download tài liệu để xem thêm chi tiết
Theo Nghị định 147/2024/ND-CP, bạn cần xác thực tài khoản trước khi sử dụng tính năng này. Chúng tôi sẽ gửi mã xác thực qua SMS hoặc Zalo tới số điện thoại mà bạn nhập dưới đây: