Hỗ trợ tư vấn
Tư vấn - Giải đáp - Hỗ trợ đặt tài liệu
Mua gói Pro để tải file trên Download.vn (không bao gồm tài liệu cao cấp) và trải nghiệm website không quảng cáo
Tìm hiểu thêm »|
SỞ GIÁO DỤC VÀ ĐÀO TẠO ĐỀ THI CHÍNH THỨC |
ĐỀ THI TUYỂN SINH LỚP 10 THPT NĂM HỌC 2012-2013 Môn thi: Toán Thời gian: 120 phút không kể thời gian giao đề |
Câu I: (2,5 điểm)
1. Thực hiện phép tính:
![]()
2. Cho biểu thức:


a) Tìm điều kiện của a để P xác định
b) Rút gọn biểu thức P.
Câu II: (1,5 điểm)
1. Cho hai hàm số bậc nhất y = -x + 2 và y = (m+3)x + 4. Tìm các giá trị của m để đồ thị của hàm số đã cho là:
a) Hai đường thẳng cắt nhau
b) Hai đường thẳng song song.
2. Tìm các giá trị của a để đồ thị hàm số y = ax2 (a # 0) đi qua điểm M(-1; 2).
Câu III: (1,5 điểm)
1. Giải phương trình x2 – 7x – 8 = 0
2. Cho phương trình x2 – 2x + m – 3 = 0 với m là tham số. Tìm các giá trị của m để phương trình có hai nghiệm x1; x2 thỏa mãn điều kiện x13x2 + x1x23 = -6
Câu IV: (1,5 điểm)
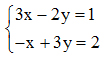
1. Giải hệ phương trình:

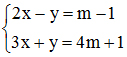
2. Tìm m để hệ phương trình
có nghiệm (x; y) thỏa mãn điều kiện x + y > 1.
Câu V: (3,0 điểm) Cho nửa đường tròn tâm O đường kính AB = 2R và tiếp tuyến Ax cùng phía với nửa đường tròn đối với AB. Từ điểm M trên Ax kẻ tiếp tuyến thứ hai MC với nửa đường tròn (C là tiếp điểm). AC cắt OM tại E; MB cắt nửa đường tròn (O) tại D (D khác B).
a) Chứng minh AMOC là tứ giác nội tiếp đường tròn.
b) Chứng minh AMDE là tứ giác nội tiếp đường tròn.
c) Chứng mình góc ADE = góc ACO
Download tài liệu để xem thêm chi tiết
Theo Nghị định 147/2024/ND-CP, bạn cần xác thực tài khoản trước khi sử dụng tính năng này. Chúng tôi sẽ gửi mã xác thực qua SMS hoặc Zalo tới số điện thoại mà bạn nhập dưới đây: