Hỗ trợ tư vấn
Tư vấn - Giải đáp - Hỗ trợ đặt tài liệu
Mua gói Pro để tải file trên Download.vn (không bao gồm tài liệu cao cấp) và trải nghiệm website không quảng cáo
Tìm hiểu thêm »
SỞ GIÁO DỤC VÀ ĐÀO TẠO
|
KỲ THI TUYỂN SINH LỚP 10 THPT NĂM HỌC 2012-2013
|
Câu 1. (5,0 điểm)
Cho biểu thức 
a) Tìm điều kiện xác định của biểu thức P.
b) Với điều kiện vừa tìm, rút gọn biểu thức P .
c) Tìm các số nguyên x để P có giá trị nguyên.
Câu 2. (3,0 điểm)
a) Cho x, y, z là 3 số thực thỏa: x + y + z = 0. Chứng minh rằng x3 + y3 + z3 = 3xyz.
b) Giải phương trình: (1005 - x)3 + (1007 - x)3 + 2x(2x - 2012)3 = 0
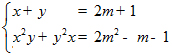
Câu 3. (5,0 điểm)
Cho hệ phương trình:
, với m là tham số.
a) Giải hệ phương trình với m =2.
b) Chứng minh rằng hệ luôn có nghiệm với mọi m.
Câu 4. (4,0 điểm)
Cho tam giác đều ABC cạnh a. Trên các cạnh AB, BC, CA lần lượt lấy các điểm D, E, F sao cho D không trùng với A, B và góc EDF = 60o.
a) Chứng minh rằng AF.BE = AD.DB.
b) Chứng minh
. Điểm D ở vị trí nào thì dấu đẳng thức xảy ra?
Câu 5. (3,0 điểm)
Cho đường tròn (O;R), đường kính AB. Gọi C là trung điểm của OB, O’ là tâm đường tròn đường kính AC. Đường thẳng d qua A cắt đường tròn (O) tại D (D # A) và cắt đường tròn (O’) tại K (K # A). BK cắt CD tại H.
a) Tính tỷ số
.
b) Khi d quay quanh A, điểm H chạy trên đường nào?
Download tài liệu để xem thêm chi tiết
Theo Nghị định 147/2024/ND-CP, bạn cần xác thực tài khoản trước khi sử dụng tính năng này. Chúng tôi sẽ gửi mã xác thực qua SMS hoặc Zalo tới số điện thoại mà bạn nhập dưới đây: