Hỗ trợ tư vấn
Tư vấn - Giải đáp - Hỗ trợ đặt tài liệu
Mua gói Pro để tải file trên Download.vn (không bao gồm tài liệu cao cấp) và trải nghiệm website không quảng cáo
Tìm hiểu thêm »
SỞ GIÁO DỤC VÀ ĐÀO TẠO
|
KỲ THI TUYỂN SINH LỚP 10 THPT NĂM HỌC 2011-2012
|
Câu 1. (3,0 điểm)
a) Rút gọn biểu thức:
.
b) Cho
. Tính Q = x3 + 12x + 2009.
Câu 2. (3,5 điểm)
Cho phương trình a(a+3)x2 - 2x - (a+1)(a+2) = 0 (a là tham số, nguyên).
a) Chứng minh rằng phương trình luôn có nghiệm hữu tỷ.
b) Xác định a để phương trình có các nghiệm đều nguyên.
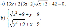
Câu 3. (5,0 điểm)
Giải phương trình và hệ phương trình sau:
Câu 4. (2,5 điểm)
a) Chứng minh rằng với mọi x, y > 0: ![]()
b) Cho 3 số dương a,b,c với abc = 1. Tìm giá trị lớn nhất của biểu thức:![]()
Câu 5. (2,5 điểm)
Cho tam giác ABC thỏa mãn AB.AC = BC(AB+AC), có G là trọng tâm và BD, CE là các đường phân giác trong. Chứng minh rằng 3 điểm D, E, G thẳng hàng.
Câu 6. (3,5 điểm)
Cho tam giác ABC cân tại A nội tiếp đường tròn tâm O. Một điểm D di động trên cung nhỏ AC. Trên tia đối của tia DB lấy điểm E sao cho DE = DC. Tìm tập hợp các trung điểm M của đoạn thẳng BE khi D di chuyển trên cung nhỏ AC
Download tài liệu để xem thêm chi tiết
Theo Nghị định 147/2024/ND-CP, bạn cần xác thực tài khoản trước khi sử dụng tính năng này. Chúng tôi sẽ gửi mã xác thực qua SMS hoặc Zalo tới số điện thoại mà bạn nhập dưới đây: