Đề thi tuyển sinh lớp 10 THPT Chuyên tỉnh Bà Rịa - Vũng Tàu năm học 2013 - 2014 môn Toán (không chuyên) Sở GD&ĐT Bà Rịa - Vũng Tàu

SỞ GIÁO DỤC VÀ ĐÀO TẠO
TỈNH BÀ RỊA - VŨNG TÀU

ĐỀ CHÍNH THỨC

KỲ THI TUYỂN SINH VÀO LỚP 10 CHUYÊN
NĂM HỌC 2013 - 2014

MÔN THI: TOÁN (KHÔNG CHUYÊN)
Thời gian làm bài: 120 phút (không kể thời gian giao đề)
Ngày thi: 14/06/2013

Câu I (3,0 điểm)

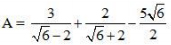
1. Rút gọn biểu thức

2. Giải phương trình: 2x2 + x - 15 = 0

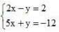
3. Giải hệ phương trình:

Câu II (2,0 điểm)

Cho parabol và đường thẳng (d): y = x + m

1. Vẽ parabol (P) và đường thẳng (d) khi m = -1 trên cùng một hệ trục tọa độ.

2. Tìm m để đường thẳng (d) cắt parabol (P) tại hai điểm phân biệt có hoành độ lần lượt là x1, x2 thỏa mãn x12 + x22 = 5m

Câu III (1,0 điểm)

Quãng đường AB dài 120km. Một ô tô khởi hành từ A đi đến B và một mô tô khởi hành từ B đi đến A cùng lúc. Sau khi gặp nhau tại địa điểm C, ô tô chạy thêm 20 phút nữa thì đến B, còn mô tô chạy thêm 3 giờ nữa thì đến A. Tìm vận tốc của ô tô và vận tốc của mô tô.

Câu IV (3,5 điểm)

Cho đường tròn (O) có bán kính R và điểm C nằm ngoài đường tròn. Đường thẳng CO cắt đường tròn tại hai điểm A, B (A nằm giữa C và O). Kẻ tiếp tuyến CM đến đường tròn (M là tiếp điểm). Tiếp tuyến của đường tròn (O) tại A cắt CM tại E và tiếp tuyến của đường tròn (O) tại B cắt CM tại F.

1. Chứng minh tứ giác AOME nội tiếp đường tròn.

2. Chứng minh góc AOE = góc OMB và CE.MF = CF.ME

3. Tìm điểm N trên đường tròn (O) (N khác M) sao cho tam giác NEF có diện tích lớn nhất. Tính diện tích lớn nhất đó theo R, biết góc AOE = 30o

Câu V (0,5 điểm)

Cho 2 số thực a và b thỏa mãn a > b và ab = 4. Tìm giá trị nhỏ nhất của biểu thức:

Download tài liệu để xem thêm chi tiết

Chia sẻ bởi: 👨 Nguyễn Thu Ngân
Liên kết tải về
Xác thực tài khoản!

Theo Nghị định 147/2024/ND-CP, bạn cần xác thực tài khoản trước khi sử dụng tính năng này. Chúng tôi sẽ gửi mã xác thực qua SMS hoặc Zalo tới số điện thoại mà bạn nhập dưới đây:

Số điện thoại chưa đúng định dạng!
Số điện thoại này đã được xác thực!
Bạn có thể dùng Sđt này đăng nhập tại đây!
Lỗi gửi SMS, liên hệ Admin
Sắp xếp theo
👨
Đóng
Chỉ thành viên Download Pro tải được nội dung này! Download Pro - Tải nhanh, website không quảng cáo! Tìm hiểu thêm
Nhắn tin Zalo