Đề thi tuyển sinh lớp 10 THPT Chuyên Tin tỉnh Vĩnh Phúc năm 2012 - 2013 môn Toán Dành cho học sinh thi vào lớp chuyên Tin học

SỞ GIÁO DỤC VÀ ĐÀO TẠO
VĨNH PHÚC

ĐỀ THI CHÍNH THỨC

KỲ THI TUYỂN SINH LỚP 10 CHUYÊN
NĂM HỌC 2012 - 2013

MÔN THI: TOÁN
(Dành cho học sinh thi vào lớp chuyên Tin học)
Thời gian làm bài: 150 phút (không kể thời gian giao đề)

Câu 1 (2,0 điểm).

Giải phương trình: Đề thi tuyển sinh lớp 10 THPT Chuyên Tin tỉnh Vĩnh Phúc môn Toán

Câu 2 (2,0 điểm).

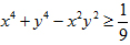
Cho x, y là các số thực thỏa mãn x2 + y2 - xy = 1. Chứng minh rằng:
a.
b.

Câu 3 (2,0 điểm).

Tìm tất cả các bộ ba số nguyên dương (x; y; z) thỏa mãn: 3(xy + yz + xz) = 4xyz.

Câu 4 (3,0 điểm).

Cho tam giác ABC nhọn, nội tiếp trong đường tròn (O). Lấy điểm P trên cung không chứa C của đường tròn (O) (P khác A và B). Đường thẳng qua P vuông góc với OA cắt các đường thẳng AB, AC theo thứ tự tại Q, R; đường thẳng qua P vuông góc với OB cắt các đường thẳng AB, BC theo thứ tự tại S, T.

1. Chứng minh rằng tam giác PQS cân.

2. Chứng minh rằng PQ2 = QR.ST.

Câu 5 (1,0 điểm).

Hai bạn Vĩnh và Phúc được cho 2012 chiếc kẹo. Họ chia kẹo cho nhau theo quy tắc: luân phiên nhau, mỗi người ở một lần chỉ được lấy ít nhất là 1 chiếc kẹo và nhiều nhất là 4 chiếc kẹo. Vĩnh là người được lấy đầu tiên. Người nào lấy được chiếc kẹo cuối cùng thì người đó thắng cuộc. Hỏi ai là người có thể luôn thắng cuộc?

Download tài liệu để xem thêm chi tiết.

Chia sẻ bởi:
Liên kết tải về
Tìm thêm: Toán 9
Xác thực tài khoản!

Theo Nghị định 147/2024/ND-CP, bạn cần xác thực tài khoản trước khi sử dụng tính năng này. Chúng tôi sẽ gửi mã xác thực qua SMS hoặc Zalo tới số điện thoại mà bạn nhập dưới đây:

Số điện thoại chưa đúng định dạng!
Số điện thoại này đã được xác thực!
Bạn có thể dùng Sđt này đăng nhập tại đây!
Lỗi gửi SMS, liên hệ Admin
Sắp xếp theo
👨
Đóng
Chỉ thành viên Download Pro tải được nội dung này! Download Pro - Tải nhanh, website không quảng cáo! Tìm hiểu thêm
Nhắn tin Zalo