Hỗ trợ tư vấn
Tư vấn - Giải đáp - Hỗ trợ đặt tài liệu
Mua gói Pro để tải file trên Download.vn (không bao gồm tài liệu cao cấp) và trải nghiệm website không quảng cáo
Tìm hiểu thêm »MÔN THI: TOÁN
Thời gian làm bài: 120 phút (không kể thời gian giao đề)
Bài 1: (1.5 điểm)
Giải hệ phương trình: 
Bài 2: (1.5 điểm)
Cho phương trình x4 + (1 − m)x2 + 2m − 2 = 0 (m là tham số)
1. Tìm các giá trị của m để phương trình có 4 nghiệm phân biệt.
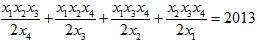
2.Trong trường hợp pt có 4 nghiệm phân biệt là x1, x2, x3, x4, hãy tìm các giá trị của m sao cho:![]()
Bài 3: (1.5 điểm)
1. Cho x, y, z là các số thực dương thỏa mãn điều kiện:
. Tính giá trị của biểu thức:![]()
2. Cho số tự nhiên có 2 chữ số. Khi chia số đó cho tổng các chữ số của nó được thương là q dư r. Nếu đổi chỗ 2 chữ số của số đó cho tổng các chữ số của nó được thương 4q dư r. Tìm số đã cho.
Bài 4: (3 điểm)
1. Cho đường tròn (O) đường kính BC. Lấy điểm A trên đường tròn sao cho AB > AC (A khác C). Vẽ hình vuông ABDE (D và E cùng nằm trên nửa mp bờ AB không chứa C). Gọi F là giao điểm thứ 2 của AD với đường tròn và K là giao điểm của CF với DE. Chứng minh KB là tiếp tuyến của đường tròn (O).
2. Cho tam giác ABC có BC = a, CA = b, AB = c. Gọi I là tâm đường tròn nội tiếp tam giác ABC. Đường thẳng vuông góc với CI tại I cắt CA, CB theo thứ tự tại M, N. Chứng minh:
a) AM.BN = IM2 = IN2.
b) ![]()
Bài 5: (2 điểm)
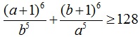
1. Cho 2 số dương a và b thỏa mãn điều kiện a + b ≤ 2. Chứng minh:
2. Tìm số tự nhiên có 3 chữ số n = 100a + 10b + c sao cho biểu thức
đạt giá trị nhỏ nhất.
Download tài liệu để xem thêm chi tiết.
Theo Nghị định 147/2024/ND-CP, bạn cần xác thực tài khoản trước khi sử dụng tính năng này. Chúng tôi sẽ gửi mã xác thực qua SMS hoặc Zalo tới số điện thoại mà bạn nhập dưới đây: