Hỗ trợ tư vấn
Tư vấn - Giải đáp - Hỗ trợ đặt tài liệu
Mua gói Pro để tải file trên Download.vn (không bao gồm tài liệu cao cấp) và trải nghiệm website không quảng cáo
Tìm hiểu thêm »| SỞ GIÁO DỤC VÀ ĐÀO TẠO HẢI DƯƠNG (Đề thi chính thức) |
KỲ THI TUYỂN SINH LỚP 10 THPT CHUYÊN NGUYỄN TRÃI NĂM HỌC 2010-2011 KHÓA NGÀY 08/07/2010 Môn thi: TOÁN (Dành cho thí sinh thi vào lớp chuyên Toán) Thời gian làm bài: 150 phút (không kể thời gian giao đề) |
Câu 1 (2,0 điểm)
1) Cho: 
Không dùng máy tính cầm tay, hãy tính giá trị của biểu thức: M = (9x3 - 9x2 - 3)2
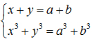
2) Cho trước a,b thuộc R; gọi x, y là hai số thực thỏa mãn 
Chứng minh rằng: x2011 + y 2011 = s2011 + b2011
Câu 2 (2,0 điểm)
Cho phương trình: x3 + ax2 + bx - 1 = 0 (1)
1) Tìm các số hữu tỷ a và b để phương trình (1) có nghiệm 
2) Với giá trị a, b tìm được ở trên; gọi x1, x2, x3 là ba nghiệm của phương trình (1). Tính giá trị của biểu thức 
Câu 3 (2,0 điểm)
1) Tìm các số nguyên x, y thỏa mãn điều kiện: x2 + y2 + 5x2y2 + 6 = 37xy
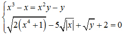
2) Giải hệ phương trình: 
Câu 4 (3,0 điểm)
Cho hai đường tròn (O ; R) và (O’ ; R’) cắt nhau tại I và J (R’ > R). Kẻ các tiếp tuyến chung của hai đường tròn đó; chúng cắt nhau ở A. Gọi B và C là các tiếp điểm của hai tiếp tuyến trên với (O’ ; R’); D là tiếp điểm của tiếp tuyến AB với (O ; R) (điểm I và điểm B ở cùng nửa mặt phẳng bờ là O’A). Đường thẳng AI cắt (O’ ; R’) tại M (điểm M khác điểm I).
1) Gọi K là giao điểm của đường thẳng IJ với BD. Chứng minh: ; từ đó suy ra KB = KD.
2) AO’ cắt BC tại H. Chứng minh 4 điểm I, H, O’, M nằm trên một đường tròn.
3) Chứng minh đường thẳng AM là tiếp tuyến của đường tròn ngoại tiếp tam giác IBD.
Câu 5 (1,0 điểm)
Mọi điểm trên mặt phẳng được đánh dấu bởi một trong hai dấu (+) hoặc ().
Chứng minh rằng luôn chỉ ra được 3 điểm trên mặt phẳng làm thành tam giác vuông cân mà ba đỉnh của nó được đánh cùng dấu.
Download tài liệu để xem thêm chi tiết
Theo Nghị định 147/2024/ND-CP, bạn cần xác thực tài khoản trước khi sử dụng tính năng này. Chúng tôi sẽ gửi mã xác thực qua SMS hoặc Zalo tới số điện thoại mà bạn nhập dưới đây: