Hỗ trợ tư vấn
Tư vấn - Giải đáp - Hỗ trợ đặt tài liệu
Mua gói Pro để tải file trên Download.vn (không bao gồm tài liệu cao cấp) và trải nghiệm website không quảng cáo
Tìm hiểu thêm »
SỞ GIÁO DỤC VÀ ĐÀO TẠO
|
ĐỀ THI TUYỂN SINH VÀO LỚP 10 TRƯỜNG THPT
|
Bài 1 (1,5 điểm)
1. Cho phương trình x2 + 4x - m = 0. Tìm m để phương trình đã cho có nghiệm.
2. Tìm tọa độ của điểm thuộc đồ thị hàm số y = 4x2, biết rằng điểm đó có tung độ bằng 4.
3. Cho hàm số y = (m + 5)x + 3m (với m # -5). tìm điểm m để hàm số đồng biến trên ¡
4. Cho đường tròn đường kính BC = 5cm và điểm A thuộc đường tròn đó sao cho AC = 4cm. Tính tanABC
Bài 2 (2,0 điểm)
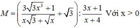
Cho biểu thức 
1. Rút gọn M.
2. Chứng minh rằng với x > 0 thì M ≥ 4. Tìm x để M = 4
Bài 3 (2, 5 điểm)
1. Tìm hai số dương biết rằng tích của hai số đó bằng 180 và nếu tăng số thứ nhất thêm 5 đồng thời bớt số thứ hai đi 3 thì tích hai số mới vẫn bằng 180.
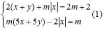
2. Cho hệ phương trình 
a. Giải hệ (1) khi m = 1
b. Chứng minh rằng nếu (x; y) là nghiệm của hệ phương trình (1) thì (x + y - 1)(5x + 5y - 1) = 2|x| - x2
Bài 4 (3,0 điểm)
Cho tam giác ABC nhọn. Nửa đường tròn đường kính AB cắt các đoạn thẳng CA, CB lần lượt tại M, N (khác A, B). Gọi H là giao điểm của AN và BM.
1. Chứng minh tứ giác CMHN nội tiếp và góc BAC + ANM = 90o.
2. Gọi (O) là đường tròn ngoại tiếp tam giác ABC. Kẻ đường kính CD của đường tròn (O). Chứng minh AH = BD.
3. Gọi I là trung điểm của AB. Đường thẳng đi qua H và vuông góc với IH cắt các cạnh CA, CB lần lượt tại P, Q. Chứng minh H là trung điểm của PQ.
Bài 5 (1,0 điểm)
Tìm x và y thỏa mãn đồng thời 2 điều kiện sau: x < y + 2 và x4 + y4 - (x2 + y2)(xy + 3x - 3y) = 2(x3 - y3 - 3x2 - 3y2)
Download tài liệu để xem thêm chi tiết
Theo Nghị định 147/2024/ND-CP, bạn cần xác thực tài khoản trước khi sử dụng tính năng này. Chúng tôi sẽ gửi mã xác thực qua SMS hoặc Zalo tới số điện thoại mà bạn nhập dưới đây: