Hỗ trợ tư vấn
Tư vấn - Giải đáp - Hỗ trợ đặt tài liệu
Mua gói Pro để tải file trên Download.vn (không bao gồm tài liệu cao cấp) và trải nghiệm website không quảng cáo
Tìm hiểu thêm »| SỞ GIÁO DỤC VÀ ĐÀO TẠO THANH HÓA (Đề thi chính thức) |
KỲ THI TUYỂN SINH LỚP 10 THPT CHUYÊN LAM SƠN NĂM HỌC 2009-2010 KHÓA NGÀY 19/06/2009 Môn thi: TOÁN (Dành cho thí sinh thi vào lớp chuyên Toán) Thời gian làm bài : 150 phút (không kể thời gian giao đề) |
Câu 1: (2,0 điểm)
1. Cho số x (x thuộc R, x > 0) thoả mãn điều kiện: 
Tính giá trị các biểu thức: 
2. Giải hệ phương trình: 
Câu 2: (2,0 điểm)
Cho phương trình: ax2 + bx + c = 0 (a # 0) có hai nghiệm x1, x2 thoả mãn điều kiện:
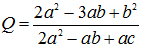
. Tìm giá trị lớn nhất của biểu thức:

Câu 3: (2,0 điểm)
1. Giải phương trình: 
2. Tìm tất cả các số nguyên tố p để 4p2 +1 và 6p2 +1 cũng là số nguyên tố.
Câu 4: (3,0 điểm)
1. Cho hình vuông ABCD có hai đường chéo cắt nhau tại E. Một đường thẳng qua A, cắt cạnh BC tại M và cắt đường thẳng CD tại N. Gọi K là giao điểm của các đường thẳng EM và BN. Chứng minh rằng: CK vuông góc BN
2. Cho đường tròn (O) bán kính R = 1 và một điểm A sao cho
. Vẽ các tiếp tuyến AB, AC với đường tròn (O) (B, C là các tiếp điểm). Một góc xOy có số đo bằng 450 có cạnh Ox cắt đoạn thẳng AB tại D và cạnh Oy cắt đoạn thẳng AC tại E. Chứng minh rằng: 
Câu 5: (1,0 điểm) Cho biểu thức P = a2 + b2 + c2 + d2 + ac + bd, trong đó ad - bc = 1
Chứng minh rằng: 
Download tài liệu để xem thêm chi tiết
Theo Nghị định 147/2024/ND-CP, bạn cần xác thực tài khoản trước khi sử dụng tính năng này. Chúng tôi sẽ gửi mã xác thực qua SMS hoặc Zalo tới số điện thoại mà bạn nhập dưới đây: