Đề thi thử vào lớp 6 năm 2014 lần 2 - Trường THPT chuyên Amsterdam Môn: Toán, Tiếng Việt - Có đáp án

Nhằm giúp các bạn học sinh lớp 5 chuẩn bị thi vào lớp 6 năm học 2014 - 2015. Download.vn xin giới thiệu tới bạn đọc: Đề thi thử vào lớp 6 năm 2014, trường THPT chuyên Amsterdam, Hà Nội.

* Đề thi thử vào lớp 6 THPT môn Toán

Phần I: Học sinh chỉ viết đáp số vào ô trống bên phải (mỗi câu 1 điểm)

Câu 1: Tính giá trị biểu thức: Đề thi thử vào lớp 6 năm 2014 lần 2 - Trường THPT chuyên Amsterdam

Câu 2: Có tất cả bao nhiêu số tự nhiên có 2 chữ số, chia hết cho 3 mà không chia hết cho 5?

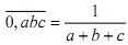
Câu 3: Tìm số tự nhiên thỏa mãn:

Đề thi thử vào lớp 6 năm 2014 lần 2 - Trường THPT chuyên Amsterdam

Câu 4: Hai số có tổng bằng 81. Nếu chuyển từ số thứ nhất sang số thứ hai một số đơn vị đúng bằng 2/5 số thứ hai thì lúc đó số thứ nhất bằng 2/7 số thứ hai. Tìm số thứ nhất.

Câu 5: Một nhóm bạn 8 học sinh có tất cả 772 viên bi. Các bạn chơi một trò chơi như sau: Người thứ nhất bốc một số bi, người thứ hai bốc một số bi gấp đôi số bi đã bốc của người thứ nhất, người thứ ba bốc một số bi gấp đôi số bi đã bốc của người thứ hai,… cứ như thế. Hỏi người thứ ba đã bốc bao nhiêu viên, biết rằng sau khi người cuối cùng bốc xong thì còn lại 7 viên?

Câu 6: Tìm tổng của 20 số hạng đầu tiên của dãy số: 5, 11, 19, 29, …

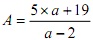
Câu 7: Tìm tất cả các giá trị tự nhiên của a để biểu thức A sau đây nhận giá trị tự nhiên:

Đề thi thử vào lớp 6 năm 2014 lần 2 - Trường THPT chuyên Amsterdam

Câu 8: Cô giáo chủ nhiệm lớp 5A mua về 264 quyển vở để thưởng cho học sinh nhân dịp tổng kết năm học. Mỗi học sinh giỏi được 6 quyển vở. Mỗi học sinh tiên tiến được 5 quyển vở. Hỏi lớp đó có bao nhiêu học sinh giỏi, biết rằng trong lớp bạn nào cũng đạt loại khá hoặc giỏi và số học sinh trong lớp chia hết cho 9.

Câu 9: Từ hai địa điểm A và B cách nhau 24km. Lúc 8 giờ, một người đi bộ xuất phát từ A để đến B. Đến 10 giờ, một người khác đi xe đạp xuất phát từ A đi về B và đuổi kịp người đi bộ lúc 11 giờ. Người đi xe đạp tiếp tục đi về phía B rồi quay lại A ngay. Anh ta gặp người đi bộ lúc 12 giờ 30 phút. Tìm vận tốc của người đi bộ.

Câu 10: Cho tam giác ABC có diện tích 360cm2. Trên cạnh AB lấy điểm M (khác A, B). Từ M kẻ đường thẳng song song với BC cắt AC tại N. Biết SAMN = 90cm2. Tính tỉ số MN/BC.

Phần II: Học sinh phải trình bày bài giải (mỗi câu 2,5 điểm)

Câu 1: Một cửa hàng bán quần áo nhập về một lô hàng về bán và dự kiến sẽ lãi 40% tiền vốn. Sau khi bán được 60% số hàng đó thì họ quyết định giảm giá 20% so với giá đang bán. Tuy vậy vẫn còn 10% tổng số hàng còn tồn lại không bán được nên cửa hàng giảm giá tiếp 10% so với giá đang bán và bán hết hàng. Hỏi sau khi bán hết hàng, chủ cửa hàng lãi bao nhiêu phần trăm so với vốn bỏ ra?

Câu 2: Cho hình chữ nhật ABCD. Trên cạnh AB lấy điểm M, trên cạnh CD lấy điểm K sao cho MB=DK. Gọi P là một điểm bất kỳ trên AD. Đoạn thẳng KM cắt BP và CP lần lượt tại E và F. So sánh diện tích tứ giác EBCF và tổng diện tích hai tứ giác AMEP và PFKD.

Xem thêm:

Đề thi - đáp án thi thử vào lớp 6 trường chuyên Amsterdam môn Tiếng Việt.

Download tài liệu để xem thêm chi tiết.

Chia sẻ bởi:
Liên kết tải về

Chọn file cần tải:

Xác thực tài khoản!

Theo Nghị định 147/2024/ND-CP, bạn cần xác thực tài khoản trước khi sử dụng tính năng này. Chúng tôi sẽ gửi mã xác thực qua SMS hoặc Zalo tới số điện thoại mà bạn nhập dưới đây:

Số điện thoại chưa đúng định dạng!
Số điện thoại này đã được xác thực!
Bạn có thể dùng Sđt này đăng nhập tại đây!
Lỗi gửi SMS, liên hệ Admin
Sắp xếp theo
👨
Đóng
Chỉ thành viên Download Pro tải được nội dung này! Download Pro - Tải nhanh, website không quảng cáo! Tìm hiểu thêm
Nhắn tin Zalo