Hỗ trợ tư vấn
Tư vấn - Giải đáp - Hỗ trợ đặt tài liệu
Mua gói Pro để tải file trên Download.vn (không bao gồm tài liệu cao cấp) và trải nghiệm website không quảng cáo
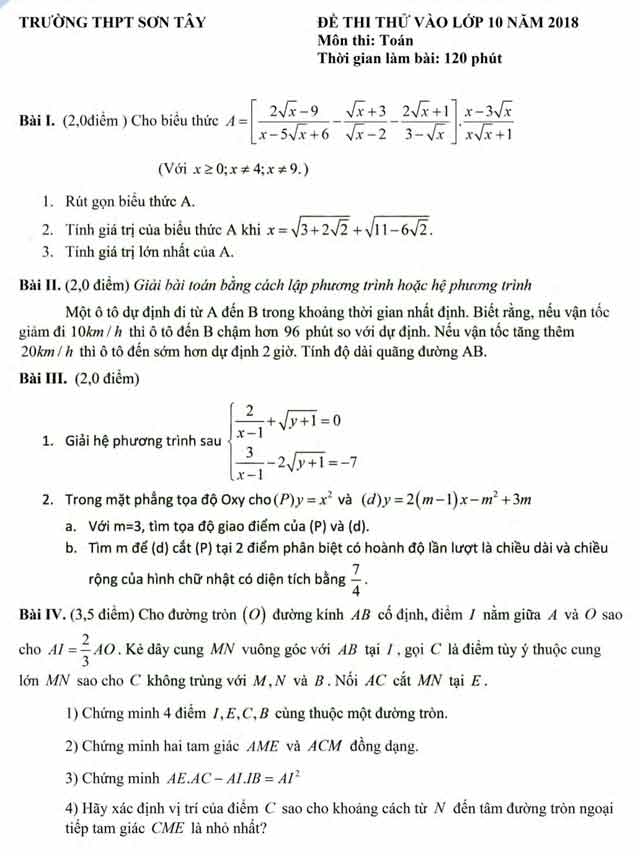
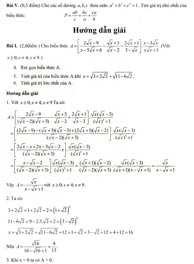
Tìm hiểu thêm »Nhằm giúp các bạn học sinh ôn tập và chuẩn bị tốt nhất cho kỳ thi vào lớp 10 sắp tới, Download.vn xin giới thiệu đến các bạn Đề thi thử vào lớp 10 môn Toán năm học 2018 - 2019 trường THPT Sơn Tây, Hà Nội có đáp án chi tiết kèm theo. Hi vọng, đề thi này sẽ giúp các bạn luyện tập và làm quen với cấu trúc đề thi môn Toán. Chúc các bạn ôn tập tốt và thi đạt kết quả cao!


Tài liệu vẫn còn, mời các bạn tải file để xem thêm nội dung chi tiết
Theo Nghị định 147/2024/ND-CP, bạn cần xác thực tài khoản trước khi sử dụng tính năng này. Chúng tôi sẽ gửi mã xác thực qua SMS hoặc Zalo tới số điện thoại mà bạn nhập dưới đây: