Hỗ trợ tư vấn
Tư vấn - Giải đáp - Hỗ trợ đặt tài liệu
Mua gói Pro để tải file trên Download.vn (không bao gồm tài liệu cao cấp) và trải nghiệm website không quảng cáo
Tìm hiểu thêm »
SỞ GIÁO DỤC VÀ ĐÀO TẠO
|
ĐỀ THI THỬ ĐẠI HỌC LẦN I NĂM 2014
|
I. PHẦN CHUNG CHO TẤT CẢ THÍ SINH (8 điểm)
Câu 1 (2,0 điểm). Cho hàm số y = x3 + 3x2 - 2.
a) Khảo sát sự biến thiên và vẽ đồ thị (C) của hàm số đã cho.
b) Tìm trên đường thẳng y = 9x - 7 những điểm mà qua đó kẻ được ba tiếp tuyến đến đồ thị (C) của hàm số.
Câu 2 (2,0 điểm).
a) Giải phương trình:
![]()
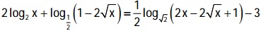
b) Giải phương trình:
![]()
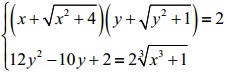
Câu 3 (1,5 điểm). Giải hệ phương trình:

Câu 4 (1,5 điểm). Cho hình chóp S.ABCD có đáy ABCD là hình thoi tâm O, cạnh a, BD = a. Trên cạnh AB lấy điểm M sao cho BM = 2AM. Biết rằng hai mặt phẳng (SAC) và (SDM) cùng vuông góc với mặt phẳng (ABCD) và mặt bên (SAB) tạo với mặt đáy một góc 60o. Tính thể tích của khối chóp S.ABCD theo a và cosin của góc tạo bởi hai đường thẳng OM và SA.
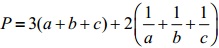
Câu 5 (1,0 điểm). Cho các số thực dương a, b, c thỏa mãn: a2 + b2 + c2 = 3. Tìm giá trị nhỏ nhất của biểu thức:
![]()
II. PHẦN RIÊNG (2,0 điểm)
A. Dành cho thí sinh thi khối A, A1
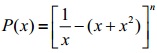
Câu 6a (1,0 điểm). Cho 
Xác định số hạng không phụ thuộc vào x khi khai triển (Px) biết n là số nguyên dương thỏa mãn ![]()
Câu 7a (1,0 điểm). Trong mặt phẳng tọa độ Oxy cho tam giác ABC có đỉnh A(1; 5). Tâm đường tròn nội tiếp và ngoại tiếp của tam giác lần lượt là I(2; 2) và K(5/2; 3). Tìm tọa độ các đỉnh B và C của tam giác.
A. Dành cho thí sinh thi khối B, D
Câu 6b (1,0 điểm). Cho tập hợp A tất cả các số tự nhiên có năm chữ số mà các chữ số đều khác 0. Hỏi có thể lấy được bao số tự nhiên từ tập A mà số đó chỉ có mặt ba chữ số khác nhau.
Câu 7b (1,0 điểm). Trong mặt phẳng tọa độ Oxy, cho hai điểm A(0; 2), B(0; -4/5) và hai đường thẳng d1: x - y - 1 = 0; d2: 2x + y + 2 = 0. Hãy viết phương trình đường thẳng d đi qua gốc tọa độ và cắt d1, d2 lần lượt tại M, N sao cho AM song song với BN.
Download tài liệu để xem chi tiết.
Theo Nghị định 147/2024/ND-CP, bạn cần xác thực tài khoản trước khi sử dụng tính năng này. Chúng tôi sẽ gửi mã xác thực qua SMS hoặc Zalo tới số điện thoại mà bạn nhập dưới đây: