Đề thi thử đại học môn Toán năm 2014 tỉnh Vĩnh Phúc Tổng hợp các đề của các trường THPT trong tỉnh - Có đáp án

SỞ GIÁO DỤC VÀ ĐÀO TẠO
VĨNH PHÚC

ĐỀ KTCL ÔN THI ĐẠI HỌC LẦN 1 NĂM HỌC 2013-2014
Môn: TOÁN; Khối A, A1

Thời gian làm bài: 180 phút

I. PHẦN CHUNG CHO TẤT CẢ THÍ SINH (7,0 điểm)

Câu 1 (2,0 điểm). Cho hàm số y = 2x4 - m2x2 + m2 - 1 (1) (m là tham số).

a) Khảo sát sự biến thiên và vẽ đồ thị của hàm số (1) khi m = 2

b) Tìm tất cả các giá trị của mđể đồ thị của hàm số (1) có ba điểm cực trị A, B, C sao cho bốn điểm O, A, B, C là bốn đỉnh của một hình thoi (với O là gốc tọa độ).

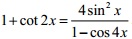
Câu 2 (1,0 điểm). Giải phương trình:

Đề thi thử đại học môn Toán năm 2014 tỉnh Vĩnh Phúc

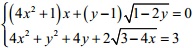
Câu 3 (1,0 điểm). Giải hệ phương trình:

Đề thi thử đại học môn Toán năm 2014 tỉnh Vĩnh Phúc

Câu 4 (1,0 điểm).

Xác định tất cả các giá trị của m để phương trình: Đề thi thử đại học môn Toán năm 2014 tỉnh Vĩnh Phúc có nghiệm.

Câu 5 (1,0 điểm).

Cho hình chóp tứ giác S.ABCD có đáy ABCD là hình vuông tâm O, cạnh bằng 2a. Mặt bên SAB là tam giác đều, SI vuông góc với mặt phẳng (SCD) với I là trung điểm của AB. Tính theo a thể tích của khối chóp S.ABCD và khoảng cách giữa hai đường thẳng SO và AB.

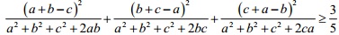
Câu 6 (1,0 điểm). Cho ba số thực dương a, b, c. Chứng minh rằng:

Đề thi thử đại học môn Toán năm 2014 tỉnh Vĩnh Phúc

II. PHẦN RIÊNG (3,0 điểm): Thí sinh chỉ được làm một trong hai phần (phần A hoặc phần B)

A. Theo chương trình Chuẩn

Câu 7a (1,0 điểm). Trong mặt phẳng với hệ tọa độ Oxy, cho đường thẳng d: x - y + 4 = 0 và hai đường tròn (C1): (x - 1)2 + (y - 1)2 = 1; (C2): (x + 3)2 + (y - 4)2 = 4. Tìm điểm M trên đường thẳng d để từ M kẻ được tiếp tuyến MA đến đường tròn (C1) và tiếp tuyến MB đến đường tròn (C2) (với A, B là các tiếp điểm) sao cho tam giác AMB cân tại M.

Câu 8a (1,0 điểm). Từ các chữ số 0, 1, 2, 3, 4, 5, 6, 7 có thể lập được bao nhiêu số tự nhiên gồm 5 chữ số đôi một khác nhau và trong mỗi số đó có đúng 2 chữ số chẵn và 3 chữ số lẻ.

Câu 9a (1,0 điểm). Giải phương trình:

Đề thi thử đại học môn Toán năm 2014 tỉnh Vĩnh Phúc

B. Theo chương trình Nâng cao

Câu 7b (1,0 điểm). Trong mặt phẳng với hệ tọa độ Oxy, cho đường thẳng d1: x + 2y - 3 = 0 và đường thẳng d2: 2x - y - 1 = 0 cắt nhau tại I. Viết phương trình đường thẳng d đi qua O và cắt d1, d2 lần lượt tại A, B sao cho 2IA = IB.

Câu 8b (1,0 điểm). Tính giới hạn:

Đề thi thử đại học môn Toán năm 2014 tỉnh Vĩnh Phúc

Câu 9b (1,0 điểm). Cho khai triển Đề thi thử đại học môn Toán năm 2014 tỉnh Vĩnh Phúc. Xác định hệ số a6 biết rằng:
Đề thi thử đại học môn Toán năm 2014 tỉnh Vĩnh Phúc

Download tài liệu để xem chi tiết.

Chia sẻ bởi:
Liên kết tải về

Chọn file cần tải:

Xác thực tài khoản!

Theo Nghị định 147/2024/ND-CP, bạn cần xác thực tài khoản trước khi sử dụng tính năng này. Chúng tôi sẽ gửi mã xác thực qua SMS hoặc Zalo tới số điện thoại mà bạn nhập dưới đây:

Số điện thoại chưa đúng định dạng!
Số điện thoại này đã được xác thực!
Bạn có thể dùng Sđt này đăng nhập tại đây!
Lỗi gửi SMS, liên hệ Admin
Sắp xếp theo
👨
Đóng
Chỉ thành viên Download Pro tải được nội dung này! Download Pro - Tải nhanh, website không quảng cáo! Tìm hiểu thêm
Nhắn tin Zalo