Hỗ trợ tư vấn
Tư vấn - Giải đáp - Hỗ trợ đặt tài liệu
Mua gói Pro để tải file trên Download.vn (không bao gồm tài liệu cao cấp) và trải nghiệm website không quảng cáo
Tìm hiểu thêm »
SỞ GIÁO DỤC VÀ ĐÀO TẠO
|
ĐỀ THI THỬ ĐẠI HỌC LẦN THỨ NHẤT
|
Câu I (2,0 điểm) Cho hàm số ![]()
1. Khảo sát sự biến thiên và vẽ đồ thị của hàm số (1).
2. Tìm hai điểm A, B thuộc đồ thị (C) sao cho tiếp tuyến của đồ thị (C) tại các điểm đó song song với nhau, đồng thời ba điểm O, A, B tạo thành tam giác vuông tại O.
Câu II (2,0 điểm)
1) Tìm nghiệm x thuộc (0; π) của phương trình:
![]()
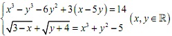
2) Giải hệ phương trình.

Câu III (1,0 điểm) Tính tích phân
![]()
Câu IV (1,0 điểm)
Cho hình chóp S.ABCD có đáy là hình chữ nhật với AB = a, BC = a√3. Hai mặt phẳng (SAC) và (SBD) cùng vuông góc với đáy. Điểm I thuộc đoạn SC sao cho SC = 3IC. Tính thể tích khối chóp S.ABCD và khoảng cách giữa hai đường thẳng AI và SB biết AI vuông góc với SC.
Câu V (1,0 điểm)
Cho 2 số thực a, b thuộc đoạn (0; 1) thỏa mãn (a3 + b3)(a + b) - ab(a - 1)(b - 1) = 0. Tìm giá trị lớn nhất của biểu thức sau:
![]()
Câu VI (1,0 điểm)
Trong mặt phẳng với hệ toạ độ Oxy cho tam giác ABC có đỉnh A(-3; 4), đường phân giác trong của góc A có phương trình x + y - 1 = 0 và tâm đường tròn ngoại tiếp ΔABC là I (1; 7). Viết phương trình cạnh BC, biết diện tích ΔABC gấp 4 lần diện tích ΔIBC.
Câu VII (1,0 điểm) Cho khai triển ![]()
Tính tổng: ![]()
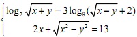
Câu VIII (1,0 điểm) Giải hệ phương trình

Download tài liệu để xem chi tiết.
Theo Nghị định 147/2024/ND-CP, bạn cần xác thực tài khoản trước khi sử dụng tính năng này. Chúng tôi sẽ gửi mã xác thực qua SMS hoặc Zalo tới số điện thoại mà bạn nhập dưới đây: