Hỗ trợ tư vấn
Tư vấn - Giải đáp - Hỗ trợ đặt tài liệu
Mua gói Pro để tải file trên Download.vn (không bao gồm tài liệu cao cấp) và trải nghiệm website không quảng cáo
Tìm hiểu thêm »
SỞ GIÁO DỤC VÀ ĐÀO TẠO BẮC NINH
|
ĐỀTHI THỬ ĐẠI HỌC LẦN 1 NĂM HỌC 2013-2014
|
Câu 1 (2.0 điểm) Cho hàm số: ![]()
a. Khảo sát sự biến thiên và vẽ đồ thị (C) của hàm số.
b. Tìm m để đường thẳng d có phương trình y = 2x + m cắt đồ thị(C) tại hai điểm phân biệt A và B sao cho 4S∆IAB = 15 với I là giao điểm của hai đường tiệm cận của đồ thị(C).
Câu 2 (1.0 điểm)
Giải phương trình: 3cosx - 2 = 3(cosx -1) cot2x
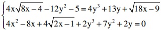
Câu 3 (1.0 điểm) Giải hệ phương trình:

Câu 4 (1.0 điểm)
Cho n là số nguyên dương thỏa mãn: ![]()
Tìm hệ số của số hạng chứa x11 trong khai triển nhị thức NewTon của biểu thức:

Câu 5 (1.0 điểm)
Cho hình chóp S.ABCD có đáy ABCD là hình chữ nhật tâm O, cạnh AD = a√6 và cạnh AB = a√3, M là trung điểm cạnh AD, hai mặt phẳng (SAC) và (SBM) cùng vuông góc với mặt phẳng đáy. Tính thể tích khối chóp S.OMC và chứng minh đường thẳng BM vuông góc với mặt phẳng (SAC) biết góc giữa cạnh bên SA và đáy là 60o
Câu 6 (1.0 điểm)
Cho x, y, z là các số dương thỏa mãn: xy ≥ 1 và z ≥ 1. Tìm giá trị nhỏ nhất của biểu thức sau:
![]()
Câu 7 (1.0 điểm)
Trong mặt phẳng với hệ tọa độ Oxy, cho hai đường thẳng ∆1 và ∆2 có phương trình lần lượt là: 2x - 11y + 7 = 0 và 2x + 3y + 4 = 0. Lập phương trình đường thẳng đi qua điểm M(8; -14), cắt hai đường thẳng ∆1, ∆2 lần lượt tại A và B sao cho: ![]()
Câu 8 (1.0 điểm)
Trong mặt phẳng với hệ tọa độ Oxy, cho hai đường tròn (C1) và (C2) có phương trình lần lượt là: (x - 1)2 + y2 = 1/2 và (x - 2)2 + (y - 2)2 = 4. Lập phương trình đường thẳng ∆ tiếp xúc với (C1), đồng thời cắt (C1) tại hai điểm phân biệt A, B sao cho: AB = 2√2
Câu 9 (1.0 điểm)
Tìm m để phương trình sau có nghiệm:
![]()
Download tài liệu để xem chi tiết.
Theo Nghị định 147/2024/ND-CP, bạn cần xác thực tài khoản trước khi sử dụng tính năng này. Chúng tôi sẽ gửi mã xác thực qua SMS hoặc Zalo tới số điện thoại mà bạn nhập dưới đây: