Hỗ trợ tư vấn
Tư vấn - Giải đáp - Hỗ trợ đặt tài liệu
Mua gói Pro để tải file trên Download.vn (không bao gồm tài liệu cao cấp) và trải nghiệm website không quảng cáo
Tìm hiểu thêm »
SỞ GIÁO DỤC VÀ ĐÀO TẠO
|
ĐỀTHI THỬ ĐẠI HỌC LẦN 1 NĂM HỌC 2013-2014
|
I. PHẦN CHUNG CHO TẤT CẢ CÁC THÍ SINH (7 điểm)
Câu 1 (2 điểm):
Cho hàm số y = 2x3 - 3(2m + 1)x2 + 6m(m + 1)x + 1 có đồ thị (1)
a. Khảo sát sự biến thiên và vẽ đồ thị của hàm số (1) khi m = 0.
b. Tìm m để đồ thị hàm số (1) đồng biến trên khoảng (2; +∞).
Câu 2 (1 điểm) Giải phương trình sau:
![]()
Câu 3 (1 điểm) Giải phương trình sau:
![]()
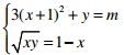
Câu 4 (1 điểm) Tìm m để hệ phương trình sau có 3 cặp nghiệm thực phân biệt:

Câu 5 (1 điểm)
Cho hình chóp tứ giác S.ABCD có đáy là hình chữ nhật, SA vuông góc với đáy, G là trọng tâm tam giác SAC, mặt phẳng (ABG) cắt SC tại M, cắt SD tại N. Tính thể tích của khối đa diện MNABCD biết SA = SB = a và góc hợp bởi đường thẳng AN và mặt phẳng (ABCD) bằng 30o.
Câu 6 (1 điểm)
Cho x, y, z thỏa mãn là các số thực: x2 - xy + y2 = 1. Tìm giá trị lớn nhất và giá trị nhỏ nhất của biểu thức:
![]()
II. PHẦN RIÊNG (3 điểm): Thí sinh chỉ được làm một trong hai phần (Phần A hoặc phần B)
A. Theo chương trình chuẩn.
Câu 7a (1 điểm): Trong mặt phẳng Oxy, cho tam giác ABC với AB = √5, C(-1; -1), đường thẳng AB có phương trình: x + 2y - 3 = 0 và trọng tâm tam giác ABC thuộc đường thẳng d: x + y - 2 = 0. Tìm tọa độ đỉnh A và B.
Câu 8a (1 điểm): Trong mặt phẳng với hệ tọa độ Oxy, cho đường tròn (C): x2 + y2 - 4x - 4y + 4 = 0 và đường thẳng d có phương trình: x + y - 2 = 0. Chứng minh rằng d luôn cắt (C) tại hai điểm phân biệt A và B. Tìm tọa độ điểm M trên đường tròn (C) sao cho diện tích tam giác MAB lớn nhất.
Câu 9a (1 điểm): Cho khai triển:
. Tính a4.
B. Theo chương trình nâng cao
Câu 7b (1 điểm): Trong mặt phẳng Oxy, cho tam giác ABC biết B(2; -1), đường cao và đường phân giác trong qua đỉnh A và C lần lượt có phương trình: 3x - 4y + 27 = 0 và x + 2y - 5 = 0. Viết phương trình các cạnh của tam giác ABC.
Câu 8b (1 điểm): Trong mặt phẳng Oxy, viết phương trình chính tắc của Elip (E), biết rằng tâm sai của E bằng
và hình chữ nhật cơ sở có diện tích bằng 24.
Câu 9b (1 điểm): Một hộp đựng 15 viên bi, trong đó có 7 viên bi xanh và 8 viên bi đỏ. Lấy ngẫu nhiên 3 viên bi (không kể thứ tự ra khỏi hộp). Tính xác xuất để trong 3 viên bi lấy ra có ít nhất 1 viên bi đỏ.
Download tài liệu để xem chi tiết.
Theo Nghị định 147/2024/ND-CP, bạn cần xác thực tài khoản trước khi sử dụng tính năng này. Chúng tôi sẽ gửi mã xác thực qua SMS hoặc Zalo tới số điện thoại mà bạn nhập dưới đây: