Đề thi thử đại học môn Toán năm 2014 tỉnh Thái Bình Đề thi thử đại học có đáp án

SỞ GIÁO DỤC VÀ ĐÀO TẠO
THÁI BÌNH

TRƯỜNG THPT LÊ QUÝ ĐÔN

ĐỀ THI THỬ TUYỂN SINH ĐẠI HỌC
MÔN THI: TOÁN KHỐI B LẦN I

NĂM HỌC: 2013 - 2014
Thời gian làm bài: 180 phút

I. PHẦN CHUNG CHO TẤT CẢ THÍ SINH (7,0 điểm)

Câu 1: (2 điểm) Cho hàm số y = x3 - 3mx2 + 3(m2 - 1)x - m3 + m (1)

1/ Khảo sát sự biến thiên và vẽ đồ thị (C) của hàm số khi m = 1

2/ Tìm m để đồ thị hàm số (1) có điểm cực đại, điểm cực tiểu và khoảng cách từ điểm cực tiểu của đồ thị hàm số đến gốc toạ độ O bằng 3 lần khoảng cách từ điểm cực đại của đồ thị hàm số đến gốc toạ độ O

Câu 2: (1 điểm) Giải phương trình:

Đề thi thử đại học môn Toán năm 2014 tỉnh Thái Bình

Câu 3: (1 điểm) Giải phương trình:

Đề thi thử đại học môn Toán năm 2014 tỉnh Thái Bình

Câu 4: (1 điểm) Tính tích phân:

Đề thi thử đại học môn Toán năm 2014 tỉnh Thái Bình

Câu 5: (1 điểm) Cho hình chóp S.ABCD có đáy ABCD là hình thang vuông tại A, D biết AB = 2a; AD = DC = a (a > 0) SA vuông góc mặt phẳng (ABCD). Góc giữa mặt phẳng (SBC) và (ABCD) bằng 45o. Tính thể tích khối chóp S.ABCD và khoảng cách từ B tới mặt phẳng (SCD) theo a

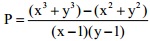
Câu 6: (1 điểm) Cho x,y là các số thực và thoả mãn x, y > 1. Tìm giá trị nhỏ nhất của biểu thức:

Đề thi thử đại học môn Toán năm 2014 tỉnh Thái Bình

II. PHẦN RIÊNG (3,0 điểm ): Thí sinh chỉ được làm một trong hai phần (phần A hoặc phần B)

A. Theo chương trình chuẩn

Câu 7a: (1 điểm) Trong mặt phẳng với hệ toạ độ Oxy cho đường thẳng d: x - y = 0 và điểm M(2; 1). Viết phương trình đường thẳng Δ cắt trục hoành Ox tại A và cắt đường thẳng d tại B sao cho tam giác AMB vuông cân tại M

Câu 8a: (1 điểm) Tìm hệ số của x9 trong khai triển: Đề thi thử đại học môn Toán năm 2014 tỉnh Thái Bình

Câu 9a (1 điểm) Giải phương trình:

B.Theo chương trình nâng cao

Câu 7b (1,0 điểm) Trong mặt phẳng với hệ toạ độ Oxy cho ΔABC có đỉnh A(-3; 4), đường phân giác trong của góc A có phương trình x + y - 1 = 0 và tâm đường tròn ngoại tiếp tam giác ABC là I(1 ;7). Viết phương trình cạnh BC, biết diện tích tam giác ABC gấp 4 lần diện tích tam giác IBC.

Câu 8b (1,0 điểm) Một hộp có 5 viên bi đỏ, 3 viên bi vàng và 4 viên bi xanh. Hỏi có bao nhiêu cách lấy ra 4 viên bi trong đó số bi đỏ lớn hơn số bi vàng

Câu 9b (1,0 điểm) Giải phương trình:

Đề thi thử đại học môn Toán năm 2014 tỉnh Thái Bình

Download tài liệu để xem chi tiết.

Chia sẻ bởi:
Liên kết tải về
Xác thực tài khoản!

Theo Nghị định 147/2024/ND-CP, bạn cần xác thực tài khoản trước khi sử dụng tính năng này. Chúng tôi sẽ gửi mã xác thực qua SMS hoặc Zalo tới số điện thoại mà bạn nhập dưới đây:

Số điện thoại chưa đúng định dạng!
Số điện thoại này đã được xác thực!
Bạn có thể dùng Sđt này đăng nhập tại đây!
Lỗi gửi SMS, liên hệ Admin
Sắp xếp theo
👨
Đóng
Chỉ thành viên Download Pro tải được nội dung này! Download Pro - Tải nhanh, website không quảng cáo! Tìm hiểu thêm
Nhắn tin Zalo