Hỗ trợ tư vấn
Tư vấn - Giải đáp - Hỗ trợ đặt tài liệu
Mua gói Pro để tải file trên Download.vn (không bao gồm tài liệu cao cấp) và trải nghiệm website không quảng cáo
Tìm hiểu thêm »
SỞ GIÁO DỤC VÀ ĐÀO TẠO
|
KỲ THI CHỌN HỌC SINH GIỎI CẤP TỈNH THPT
|
Câu I: (THPT: 4,0 điểm; GDTX: 4,0 điểm)
Cho hàm số (C): ![]()
1. Khảo sát sự biến thiên và vẽ đồ thị (C) của hàm số (1).
2. Viết phương trình tiếp tuyến của (C), biết tiếp tuyến đó cắt đường tiệm cận đứng và tiệm cận ngang lần lượt tại A, B sao cho AB = √2IB, với I(2, 2).
Câu II: (THPT: 5,0 điểm; GDTX: 6,0 điểm)
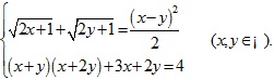
1. Giải hệ phương trình: 
2. Giải phương trình: ![]()
Câu III: (THPT: 4,0 điểm; GDTX: 4,0 điểm)
1. Trong mặt phẳng với hệ trục tọa độ Oxy, cho hình chữ nhật ABCD có A(5, -7), điểm C thuộc vào đường thẳng có phương trình: x - y + 4 = 0. Đường thẳng đi qua D và trung điểm của đoạn AB có phương trình: 3x - 4y - 23 = 0. Tìm tọa độ của B và C, biết điểm D có hoành độ dương.
2. Cho tam giác nhọn ABC nội tiếp đường tròn (O, R). Gọi P, Q lần lượt là các điểm di động trên cung nhỏ AB, AC sao cho P, Q, O thẳng hàng. Gọi D, E lần lượt là hình chiếu vuông góc của P lên các đường thẳng BC, AB tương ứng và D', E' lần lượt là hình chiếu vuông góc của Q lên các đường thẳng BC, AC. Gọi K là giao điểm của hai đường thẳng DE và D'E'. Tìm giá trị lớn nhất của diện tích tam giác KDD' (theo R).
Câu IV: (THPT: 3,0 điểm; GDTX: 3,0 điểm)
Cho hình chóp S.ABCD có đáy ABCD là hình chữ nhật, tam giác SAB đều cạnh a và nằm trong mặt phẳng vuông góc với đáy. Góc giữa mặt phẳng (SCD) và mặt phẳng đáy bằng 60o.
1. Tính thể tích khối chóp S.ABCD theo a.
2. Tính khoảng cách giữa hai đường thẳng SA và DB theo a.
Câu V: (THPT: 2,0 điểm; GDTX: 3,0 điểm)
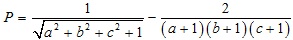
Cho a, b, c là ba số dương. Tìm giá trị lớn nhất của biểu thức:![]()
Câu VI: (THPT: 2,0 điểm)
Cho dãy số (un) được xác định:
.
Xét dãy số
. Tìm limvn.
Câu 1. (8 điểm)
TẤT CẢ SỨC MẠNH
Có một cậu bé đang chơi ở đống cát trước sân. Khi đào một đường hầm trong đống cát, cậu bé đụng phải một tảng đá lớn. Cậu bé liền tìm cách đẩy nó ra khỏi đống cát.
Cậu bé dùng đủ mọi cách, cố hết sức lực nhưng rốt cuộc vẫn không thể đẩy được tảng đá ra khỏi đống cát. Đã vậy bàn tay cậu còn bị trầy xước, rướm máu. Cậu bật khóc rấm rứt trong thất vọng.
Người bố ngồi trong nhà lặng lẽ theo dõi mọi chuyện. Và khi cậu bé bật khóc, người bố bước tới: “Con trai, tại sao con không dùng hết sức mạnh của mình?”.
Cậu bé thổn thức đáp: “Có mà! Con đã dùng hết sức rồi mà bố!”.
“Không con trai – người bố nhẹ nhàng nói – con đã không dùng đến tất cả sức mạnh của con. Con đã không nhờ bố giúp”.
Nói rồi người bố cúi xuống bới tảng đá ra, nhấc lên và vứt đi chỗ khác.
(Theo báo Tuổi trẻ - Bùi Xuân Lộc phỏng dịch từ Faith to Move Mountains).
Suy nghĩ của anh/chị về bài học rút ra từ câu chuyện trên.
Câu 2. (12 điểm)
Nhận định về bài thơ Tràng giang của Huy Cận, có ý kiến cho rằng: đó là nỗi sầu vạn kỉ. Ý kiến khác thì nhấn mạnh: đó là nỗi sầu của một con người giàu sức lực. Anh/chị hiểu những ý kiến trên như thế nào? Làm sáng tỏ những ý kiến đó qua việc phân tích thi phẩm.
Download tài liệu để xem chi tiết.
Theo Nghị định 147/2024/ND-CP, bạn cần xác thực tài khoản trước khi sử dụng tính năng này. Chúng tôi sẽ gửi mã xác thực qua SMS hoặc Zalo tới số điện thoại mà bạn nhập dưới đây: