Đề thi học sinh giỏi lớp 8 THCS Quận Ngũ Hành Sơn năm 2012 - 2013 Môn: Toán - Có đáp án

PHÒNG GIÁO DỤC VÀ ĐÀO TẠO
QUẬN NGŨ HÀNH SƠN

ĐỀ THI CHÍNH THỨC

KÌ THI CHỌN HỌC SINH GIỎI THCS
NĂM HỌC: 2012 - 2013

MÔN THI: TOÁN - LỚP 8

Bài 1: (1,50 điểm)

a./ Hãy viết biểu thức sau: thành hiệu hai bình phương.

b./ Cho: Đề thi học sinh giỏi lớp 8 THCS Quận Ngũ Hành Sơn

Chứng minh rằng M < 1

Bài 2: (2,00 điểm)

a./ Chứng minh rằng n3 - 28n chia hết cho 48 với mọi n là số nguyên chẵn

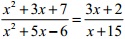
b./ Giải phương trình sau: Đề thi học sinh giỏi lớp 8 THCS Quận Ngũ Hành Sơn

Bài 3: (2,50 điểm)

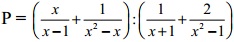
Cho biểu thức: Đề thi học sinh giỏi lớp 8 THCS Quận Ngũ Hành Sơn

a./ Rút gọn biểu thức P.

b./ Tìm các giá trị của x để P > -1

c./ Giải phương trình |P| = 2

Bài 4: (1,00 điểm).

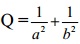
Cho a > 0; b > 0 và a2 + b2 = 10; Tìm giá trị nhỏ nhất của

Bài 5: (3,00 điểm)

Cho tam giác ABC có AB = 2a; AC = 3a; BC = 4a. Đường phân giác AD và BE cắt nhau tại I. Gọi M là trung điểm của AC, G là trọng tâm tam giác ABC.

a./ Tính độ dài đoạn thẳng BD theo a.

b./ Chứng minh IG // AC

c./ Tính tỉ số diện tích của tứ giác EIGM và ∆ ABC

Download tài liệu để xem thêm chi tiết.

Chia sẻ bởi: 👨 Nguyễn Thu Ngân
Liên kết tải về
Tìm thêm: Toán lớp 8 Toán 8
Xác thực tài khoản!

Theo Nghị định 147/2024/ND-CP, bạn cần xác thực tài khoản trước khi sử dụng tính năng này. Chúng tôi sẽ gửi mã xác thực qua SMS hoặc Zalo tới số điện thoại mà bạn nhập dưới đây:

Số điện thoại chưa đúng định dạng!
Số điện thoại này đã được xác thực!
Bạn có thể dùng Sđt này đăng nhập tại đây!
Lỗi gửi SMS, liên hệ Admin
Sắp xếp theo
👨
Đóng
Chỉ thành viên Download Pro tải được nội dung này! Download Pro - Tải nhanh, website không quảng cáo! Tìm hiểu thêm
Nhắn tin Zalo