Đề thi học sinh giỏi lớp 8 THCS Quận Ngũ Hành Sơn năm 2011 - 2012 Môn: Toán - Có đáp án

PHÒNG GIÁO DỤC VÀ ĐÀO TẠO
QUẬN NGŨ HÀNH SƠN

ĐỀ THI CHÍNH THỨC

KÌ THI CHỌN HỌC SINH GIỎI THCS
NĂM HỌC: 2011 - 2012

MÔN THI: TOÁN - LỚP 8

Bài 1: (2,0 điểm)

a) Tìm giá trị của a để (21x2 - 9x3 + x + x4 + a)(x2 - x - 2) = 0

b) Chứng minh rằng n4 - 2n3 - n2 + 2n chia hết cho 24 với mọi n thuộc Z

Bài 2: (2,0 điểm)

a) Cho a + b + c = 0. Chứng minh rằng a3 + b3 + c3 = 3abc

b) Cho , (với x # 0, y # 0, z # 0)

Tính giá trị của biểu thức

Bài 3: (2,5 điểm)

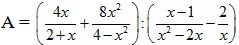
Cho biểu thức Đề thi học sinh giỏi lớp 8 THCS Quận Ngũ Hành Sơn

a) Tìm điều kiện xác định, rồi rút gọn biểu thức A.

b) Tìm x để A = -1

c) Tìm các giá trị của x để A < 0

Bài 4: (1,5 điểm)

Chứng minh rằng trong một hình bình hành, khoảng cách từ một điểm trên đường chéo đến hai cạnh kề (hai cạnh kề và đường chéo cùng qua một đỉnh của hình bình hành), tỉ lệ nghịch với hai cạnh ấy.

Bài 5: (2,0 điểm)

Gọi M là điểm nằm trong xOy = m0 (0< m < 90). Gọi P, Q lần lượt là hình chiếu của M trên Ox , Oy. Gọi H, K lần lượt là trung điểm của OM, PQ.

a) Chứng minh: HK vuông góc PQ

b) Tính số đo góc HPQ theo m.

Download tài liệu để xem thêm chi tiết.

Chia sẻ bởi: 👨 Nguyễn Thu Ngân
Liên kết tải về
Tìm thêm: Toán lớp 8 Toán 8
Xác thực tài khoản!

Theo Nghị định 147/2024/ND-CP, bạn cần xác thực tài khoản trước khi sử dụng tính năng này. Chúng tôi sẽ gửi mã xác thực qua SMS hoặc Zalo tới số điện thoại mà bạn nhập dưới đây:

Số điện thoại chưa đúng định dạng!
Số điện thoại này đã được xác thực!
Bạn có thể dùng Sđt này đăng nhập tại đây!
Lỗi gửi SMS, liên hệ Admin
Sắp xếp theo
👨
Đóng
Chỉ thành viên Download Pro tải được nội dung này! Download Pro - Tải nhanh, website không quảng cáo! Tìm hiểu thêm
Nhắn tin Zalo