Hỗ trợ tư vấn
Tư vấn - Giải đáp - Hỗ trợ đặt tài liệu
Mua gói Pro để tải file trên Download.vn (không bao gồm tài liệu cao cấp) và trải nghiệm website không quảng cáo
Tìm hiểu thêm »
SỞ GIÁO DỤC VÀ ĐÀO TẠO
|
ĐỀ THI CHỌN HỌC SINH GIỎI CẤP TỈNH
|
Bài 1 (5 điểm):
Kết hợp trên giấy và máy tính để tính kết quả đúng của biểu thức: B = 2468103 + 13579112.
Bài 2 (5 điểm): Cho đa thức P(x) = x4 + ax3 + bx2 + cx + d
Biết P(1) = 5; P(2) = 7; P(3) = 9; P(4) = 11
a) Tính a, b, c, d
b) Tính gần đúng giá trị biểu thức: ![]()
Bài 3 (5 điểm):
Tìm tất cả các số nguyên dương thỏa mãn phương trình: 5x2 + y2 - 4xy = 6y - 14x + 170
Bài 4 (5 điểm):
Cho tam giác ABC có AB = 4cm, BC = 7cm, góc ABC = 161o20'12''
a) Tính độ dài đoạn thẳng AC và số đo các góc C
b) Tính diện tích và bán kính đường tròn ngoại tiếp tam giác ABC.
Bài 5 (5 điểm):
Tìm 5 chữ số tận cùng của 22011
Bài 6 (5 điểm):
Tìm chữ số thập phân thứ 105 sau dấu phẩy của phép chia 17 : 13
Bài 7 (5 điểm):
Tìm số dư của phép chia 2004376 cho 1975
Bài 8 (5 điểm):
Trong mặt phẳng với hệ toạ độ Oxy, cho tam giác ABC có A(1; 0) và hai đường cao có phương trình lần lượt là d1: x - 2y + 1 = 0; d2: 3x + y + 2 = 0. Hãy tính gần đúng chu vi và diện tích tam giác ABC.
Bài 9 (5 điểm):
Qua một điểm nằm trong tam giác kẻ 3 đường thẳng song song với các cạnh của tam giác. Các đường thẳng này chia tam giác thành 6 phần, trong đó có 3 hình bình hành với các diện tích là S1 = 15cm2, S2 = 16cm2, S3 = 21,5642cm2. Tính diện tích của tam giác đã cho.

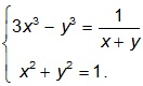
Bài 10 (5 điểm):
Tính gần đúng các nghiệm của hệ phương trình: 
.
Download tài liệu để xem chi tiết.
Theo Nghị định 147/2024/ND-CP, bạn cần xác thực tài khoản trước khi sử dụng tính năng này. Chúng tôi sẽ gửi mã xác thực qua SMS hoặc Zalo tới số điện thoại mà bạn nhập dưới đây: