Hỗ trợ tư vấn
Tư vấn - Giải đáp - Hỗ trợ đặt tài liệu
Mua gói Pro để tải file trên Download.vn (không bao gồm tài liệu cao cấp) và trải nghiệm website không quảng cáo
Tìm hiểu thêm »
SỞ GIÁO DỤC VÀ ĐÀO TẠO
|
KỲ THI CHỌN HSG GIẢI TOÁN TRÊN MÁY TÍNH CẦM TAY
|
Chú ý:
- Các giá trị phải tính ra số thập phân, lấy chính xác 5 chữ số thập phân không làm tròn;
- Thí sinh phải ghi tóm tắt cách giải hay công thức tính.
Bài 1.
Tính gần đúng tọa độ giao điểm của đồ thị hàm số y = x3 - 3x2 - 5|x| + 1 và trục hoành.
Bài 2.
Cho hàm số
có đồ thị (C). Tính giá trị gần đúng của k và m để đường thẳng (d): y = kx + m tiếp xúc với đồ thị (C) tại điểm có hoành độ ![]()
Bài 3.
Cho phương trình x + log6(49 - 6x) = m (1)
a. Tìm các nghiệm gần đúng của phương trình khi 
b. Tìm giá trị nguyên lớn nhất của m để phương trình (1) có nghiệm.
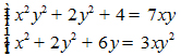
Bài 4.
Giải hệ phương trình:
Bài 5.
Tính giá trị của biểu thức:
Bài 6.
Cho đa thức P(x) = x5 + ax4 + bx3 + cx2 + dx + e
Tính
, biết rằng P(1) = 0, P(2) = 2, P(3) = 8, P(4) = 18, P(5) = 32.
Bài 7.
Trong mặt phẳng (Oxy), cho
và đường thẳng (d): x - 2y - 2 = 0. Tìm điểm I thuộc đường thẳng (d) sao cho tam giác IAB và tam giác ICD có diện tích bằng nhau.
Bài 8.
Cho tứ diện ABCD có AB = 1cm, Ac = 2cm, AD = 5cm, và góc BAC = 2/3CAD = 1/2BAD = 400. Tính giá trị gần đúng thể tích của khối tứ diện ABCD.
Bài 9.
Cho hình chóp S.ABCD có đáy ABCD là hình chữ nhật,
, các cạnh bên của hình chóp bằng nhau và bằng
. Gọi M, N lần lượt là trung điểm các cạnh AB, CD và K là điểm trên cạnh AD sao cho
. Tính khoảng cách giữa hai đường thẳng MN và SK.
Bài 10.
Cho các số a, b, c đều lớn hơn 503. Tìm giá trị nhỏ nhất của biểu thức:
Download tài liệu để xem thêm chi tiết
Theo Nghị định 147/2024/ND-CP, bạn cần xác thực tài khoản trước khi sử dụng tính năng này. Chúng tôi sẽ gửi mã xác thực qua SMS hoặc Zalo tới số điện thoại mà bạn nhập dưới đây: