Hỗ trợ tư vấn
Tư vấn - Giải đáp - Hỗ trợ đặt tài liệu
Mua gói Pro để tải file trên Download.vn (không bao gồm tài liệu cao cấp) và trải nghiệm website không quảng cáo
Tìm hiểu thêm »
SỞ GIÁO DỤC VÀ ĐÀO TẠO
|
KỲ THI CHỌN HSG GIẢI TOÁN TRÊN MÁY TÍNH CẦM TAY
|
Chú ý:
+ Tất cả các giá trị gần đúng lấy 5 chữ số thập phân không làm tròn.
+ Khi làm bài thí sinh phải ghi tóm tắt cách giải, hoặc có thể ghi bước tính toán cuối cùng để ra kết quả.
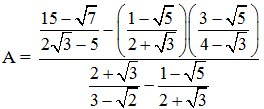
Bài 1:
Tính gần đúng giá trị của biểu thức:
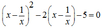
Bài 2:
Tính gần đúng các nghiệm của phương trình:
Bài 3:
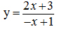
Cho hàm số ![]()
Tính gần đúng giá trị hàm số tại ![]()
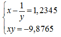
Bài 4:
Tìm gần đúng nghiệm hệ phương trình:
Bài 5:
Một ca nô xuôi dòng từ A đến B, rồi ngược dòng từ B về A mất 1giờ 45 phút. Biết khoảng cách AB là 72km và vận tốc nuớc chảy là 4km/giờ, tính gần đúng vận tốc thực của ca nô.
Bài 6:
Cho hình vuông có cạnh m=7,23 cm.Từ 4 đỉnh hình vuông kẻ 4 cung tròn có tâm là 4 đỉnh hình vuông, có bán kính bằng nữa cạnh hình vuông. Tính gần đúng diện tích phần xen giữa 4 cung tròn đó.

Bài 7:
Tìm gần đúng tọa độ giao điểm của đường thẳng
và đồ thị hàm số ![]()
Bài 8:
Cho hình thang cân ABCD có 2 đường chéo vuông góc nhau. Cạnh đáy AB = 3,5cm, cạnh bên AD = 5,2cm .Tính gần đúng diện tích hình thang đó.
Bài 9:
Cho tam giác vuông có độ dài 2 cạnh góc vuông b = 10/7cm; c = 3,3172cm. Tính gần đúng diện tích hình tròn ngoại tiếp tam giác đã cho.
Bài 10:
Tính gần đúng giá trị ![]()
Download tài liệu để xem thêm chi tiết
Theo Nghị định 147/2024/ND-CP, bạn cần xác thực tài khoản trước khi sử dụng tính năng này. Chúng tôi sẽ gửi mã xác thực qua SMS hoặc Zalo tới số điện thoại mà bạn nhập dưới đây: