Hỗ trợ tư vấn
Tư vấn - Giải đáp - Hỗ trợ đặt tài liệu
Mua gói Pro để tải file trên Download.vn (không bao gồm tài liệu cao cấp) và trải nghiệm website không quảng cáo
Tìm hiểu thêm »
SỞ GIÁO DỤC VÀ ĐÀO TẠO
|
KỲ THI CHỌN HSG GIẢI TOÁN TRÊN MÁY TÍNH CẦM TAY
|
Chú ý:
- Các giá trị phải tính ra số thập phân, lấy chính xác 5 chữ số thập phân không làm tròn;
- Thí sinh phải ghi tóm tắt cách giải hay công thức tính.
Bài 1.
Tính gần đúng nghiệm (độ, phút, giây) của phương trình: 4cos2x + 3cosx = -1
Bài 2.
Tính gần đúng giá trị lớn nhất và nhỏ nhất của hàm số: ![]()
Bài 3.
Trong mặt phẳng tọa độ Oxy, cho hai điểm P(0; 1/12), Q(1/13; 1) và đường thẳng Δ có phương trình X + Y = 0. Tìm điểm M trên Δ sao cho tổng MP + MQ nhỏ nhất.
Bài 4.
Tính tổng 
Biết: ![]()
Bài 5.
Cho tứ diện đều ABCD cạnh bằng
. Kéo dài BC về phía C một đoạn
, kéo dài BD về phía D một đoạn
. Gọi M là trung điểm của AB. Tính diện tích của thiết diện tạo bởi tứ diện với mặt phẳng (MEF).
Bài 6.
Tìm cặp số (x, y) nguyên dương với x nhỏ nhất thỏa phương trình:![]()
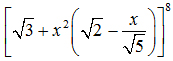
Bài 7.
Tìm hệ số của số hạng chứa trong khai triển của biểu thức:
Bài 8.
Cho dãy số (un) thỏa mãn điều kiện sau:
Tính gần đúng giá trị tổng 20 số hạng đầu tiên của dãy số (un).
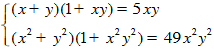
Bài 9.
Giải hệ phương trình:![]()
Bài 10.
Cho tứ giác ABCD nội tiếp trong đường tròn (O) bán kính R=4,20 cm, AB=7,69 cm, BC=6,94 cm, CD=3,85 cm. Tìm độ dài cạnh còn lại và tính diện tích của tứ giác ABCD.
Download tài liệu để xem thêm chi tiết
Theo Nghị định 147/2024/ND-CP, bạn cần xác thực tài khoản trước khi sử dụng tính năng này. Chúng tôi sẽ gửi mã xác thực qua SMS hoặc Zalo tới số điện thoại mà bạn nhập dưới đây: