Hỗ trợ tư vấn
Tư vấn - Giải đáp - Hỗ trợ đặt tài liệu
Mua gói Pro để tải file trên Download.vn (không bao gồm tài liệu cao cấp) và trải nghiệm website không quảng cáo
Tìm hiểu thêm »
SỞ GIÁO DỤC VÀ ĐÀO TẠO ĐỒNG NAI
|
ĐỀ KIỂM TRA HỌC KỲ I LỚP 11
|
Câu 1 (3,0 điểm). Giải các phương trình sau.
a) 2sinx - 1 = 0
b) √3.sinx - cosx = √3
c) 2cos3x + cos2x + sinx = 0
Câu 2 (1,5 điểm).
Một hộp có 20 viên bi, gồm 12 bi đỏ và 8 bi xanh. Lấy ngẫu nhiên ba bi.Tính xác suất để:
a) Cả ba bi đều đỏ
b) Có ít nhất một bi xanh.
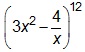
Câu 3 (1,0 điểm).
Tìm hệ số của số hạng chứa x12 trong khai triển nhị thức Niutơn của
(với x # 0)
Câu 4 (1,0 điểm).
Tìm số hạng đầu, công sai của cấp số cộng biết: 
Câu 5 (1,0 điểm).
Trong mặt phẳng Oxy, tìm ảnh của d: 3x + 2y - 5 = 0 qua phép vị tự tâm O tỉ số 2.
Câu 6 (2,5 điểm).
Cho hình chóp S.ABCD. Đáy ABCD là hình bình hành. Gọi M là trung điểm BC. (α) là mặt phẳng qua MD song song với SC.
a) Tìm giao tuyến của hai mặt phẳng (SAB) và (SMD)
b) Xác định thiết diện tạo bởi mp(α) và hình chóp S.ABCD
I. Lý thuyết: (4 điểm)
1. Câu 1: Tiếng Việt (2 điểm):
a. Tìm thành ngữ trong văn bản sau và cho biết ý nghĩa của thành ngữ đó (1 điểm).
“Liệu mà xa chạy cao bay,
Ái ân ta có ngần này mà thôi”
(“Truyện Kiều” – Nguyễn Du)
b. Xác định nghĩa của từ “Mặt trời” trong văn bản sau (1 điểm).
“Mặt trời1 của bắp thì nằm trên đồi
Mặt trời2 của mẹ, em nằm trên lưng.”
(“Khúc hát ru những em bé lớn trên lưng mẹ” - Nguyễn Khoa Điềm)
2. Câu 2: Kiến thức văn học (2 điểm)
Trình bày những nội dung chính trong quan điểm nghệ thuật của Nam Cao.
II. Tự luận: (6 điểm)
Phân tích quá trình thức tỉnh của nhân vật Chí Phèo trong truyện ngắn cùng tên của nhà văn Nam Cao.
Download tài liệu để xem thêm chi tiết.
Theo Nghị định 147/2024/ND-CP, bạn cần xác thực tài khoản trước khi sử dụng tính năng này. Chúng tôi sẽ gửi mã xác thực qua SMS hoặc Zalo tới số điện thoại mà bạn nhập dưới đây: