Hỗ trợ tư vấn
Tư vấn - Giải đáp - Hỗ trợ đặt tài liệu
Mua gói Pro để tải file trên Download.vn (không bao gồm tài liệu cao cấp) và trải nghiệm website không quảng cáo
Tìm hiểu thêm »Bộ đề thi học kì 1 môn Toán lớp 11 năm học 2016 - 2017 được sưu tầm và đăng tải là tài liệu tham khảo hữu ích dành cho các bạn học sinh lớp 11, giúp các bạn ôn tập và nâng cao kiến thức trong chương trình học lớp 11. Mời các bạn tham khảo.
Đề số 1 - Đề thi học kì 1 môn Toán lớp 11 trường THPT Lý Thái Tổ, Bắc Ninh năm học 2016 - 2017
|
SỞ GD & ĐT BẮC NINH TRƯỜNG THPT LÝ THÁI TỔ |
ĐỀ THI KHẢO SÁT HỌC KỲ 1 NĂM 2016 - 2017 Môn: TOÁN, Khối 11. Thời gian: 120 phút, không kể thời gian phát đề. Ngày thi 23/12/2016 |
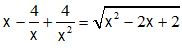
Câu 1 (2,0 điểm) Giải các phương trình sau:

Câu 2 (2,0 điểm)
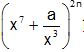
Câu 3 (1,0 điểm) Tìm giá trị a biết hệ số của số hạng chứa x10 trong khai triển của biểu thức:
bằng 13440 và n là số nguyên dương thỏa mãn: ![]()
Câu 4 (3,0 điểm) Cho hình chóp S.ABCD có đáy ABCD là hình bình hành. Gọi H, K lần lượt là trọng tâm tam giác SAB và ABC. Gọi (α) là mặt phẳng chứa HK và song song với SB.
Câu 5 (1,0 điểm) Giải phương trình: ![]()
Câu 6 (1,0 điểm) Cho a, b, c là các số dương. Tìm giá trị lớn nhất của biểu thức:









|
1 |
B |
11 |
C |
21 |
A |
31 |
B |
41 |
D |
|
2 |
D |
12 |
D |
22 |
C |
32 |
B |
42 |
A |
|
3 |
B |
13 |
A |
23 |
C |
33 |
B |
43 |
B |
|
4 |
C |
14 |
A |
24 |
D |
34 |
B |
44 |
C |
|
5 |
C |
15 |
D |
25 |
D |
35 |
A |
45 |
A |
|
6 |
D |
16 |
C |
26 |
A |
36 |
B |
46 |
A |
|
7 |
D |
17 |
B |
27 |
D |
37 |
D |
47 |
C |
|
8 |
D |
18 |
D |
28 |
B |
38 |
D |
48 |
A |
|
9 |
C |
19 |
C |
29 |
B |
39 |
B |
49 |
C |
|
10 |
A |
20 |
A |
30 |
C |
40 |
A |
50 |
D |
Mời các bạn tải trọn bộ đề thi và đáp án môn Toán về để tham khảo.
Theo Nghị định 147/2024/ND-CP, bạn cần xác thực tài khoản trước khi sử dụng tính năng này. Chúng tôi sẽ gửi mã xác thực qua SMS hoặc Zalo tới số điện thoại mà bạn nhập dưới đây: