Hỗ trợ tư vấn
Tư vấn - Giải đáp - Hỗ trợ đặt tài liệu
Mua gói Pro để tải file trên Download.vn (không bao gồm tài liệu cao cấp) và trải nghiệm website không quảng cáo
Tìm hiểu thêm »Đề thi học kì 2 môn Toán lớp 4 theo Thông tư 22, có bảng ma trận và đáp án kèm theo. Giúp các em học sinh lớp 4 ôn tập, củng cố kiến thức thật tốt để đạt kết quả cao trong bài thi học kì 2 sắp tới. Đồng thời đây là tài liệu tham khảo cho các thầy cô khi ra đề học kì 2 cho các em học sinh. Mời thầy cô cùng các em học sinh tham khảo nội dung chi tiết dưới đây:
Đề thi học kì 2 môn Tiếng Việt lớp 4 theo Thông tư 22
I. PHẦN TRẮC NGHIỆM (5 điểm)
* Khoanh tròn vào chữ cái đặt trước kết quả đúng
Câu 1 (1 điểm): Trong các phân số sau, phân số tối giản là: (M1)

Câu 2 (1 điểm): Giá trị của chữ số 5 trong số 58 3624 là: (M1)
a. 800 b. 8 000 c. 80 000 d. 800 000
Câu 3: Số thích hợp điền vào chỗ trống của: 2 yến 5 kg =...... kg là: (1 điểm) (M1)
a. 205 b. 2005 c. 250 d. 20005
Câu 4 (1 điểm): Phân số 2/3 bằng phân số nào dưới đây (M2)

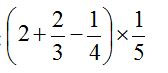
Câu 5 (1 điểm): Kết quả của phép tính:
là: (M4)

II. PHẦN TỰ LUẬN (5 điểm)
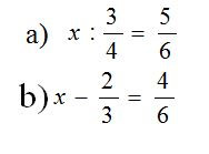
Câu 6 (1 điểm): Tìm x (M2)

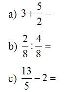
Câu 7 (1,5 điểm): Tính (M3)

Câu 8 (1,5 điểm): Trường Tiểu học Bình An 3 có số học sinh Khá gấp 3 lần số học sinh Giỏi. Biết rằng số học sinh Khá nhiều hơn số học sinh Giỏi là 140 em. Hỏi trường có bao nhiêu học sinh Giỏi và học sinh Khá? (M3)
Câu 9 (1 điểm): Một hình chữ nhật có chiều dài là 24 mét, chiều rộng bằng chiều dài. Tính diện tích hình chữ nhật đó. (M2)
|
Stt |
Chủ đề |
Câu/ điểm |
Mức 1 |
Mức 2 |
Mức 3 |
Mức 4 |
Tổng số |
|||||
|
|
|
|
TN |
TL |
TN |
TL |
TN |
TL |
TN |
TL |
TN |
TL |
|
1 |
Số tự nhiên và các phép tính với số tự nhiên. Phân số và các phép tính với phân số. |
Số câu |
2 |
|
1 |
1 |
|
2 |
1 |
|
4 |
3 |
|
|
|
Câu số |
1,2 |
|
4 |
6 |
|
8,9 |
5 |
|
|
|
|
|
|
Số điểm |
2 |
|
1 |
1 |
|
3 |
1 |
|
4 |
4 |
|
2 |
Đại lượng và đo đại lượng: khối lượng, diện tích, thời gian. |
Số câu |
1 |
|
|
|
|
|
|
|
1 |
0 |
|
|
|
Câu số |
3 |
|
|
|
|
|
|
|
|
|
|
|
|
Số điểm |
1 |
|
|
|
|
|
|
|
1 |
0 |
|
3 |
Nhận biết hành bình hành, hình thoi và một số đặc điểm của nó; tính chu vi, diện tích hình chữ nhật, hình bình hành, hình thoi. |
Số câu |
|
|
|
1 |
|
|
|
|
0 |
1 |
|
|
|
Câu số |
|
|
|
7 |
|
|
|
|
|
|
|
|
|
Số điểm |
|
|
|
1 |
|
|
|
|
0 |
1 |
|
Tổng số câu |
3 |
0 |
1 |
2 |
0 |
2 |
1 |
0 |
5 |
4 |
||
|
Tổng số mức |
3 |
3 |
2 |
1 |
|
|
||||||
|
Tổng số điểm |
3 |
0 |
1 |
2 |
0 |
3 |
1 |
0 |
5 |
5 |
||
Theo Nghị định 147/2024/ND-CP, bạn cần xác thực tài khoản trước khi sử dụng tính năng này. Chúng tôi sẽ gửi mã xác thực qua SMS hoặc Zalo tới số điện thoại mà bạn nhập dưới đây: