Hỗ trợ tư vấn
Tư vấn - Giải đáp - Hỗ trợ đặt tài liệu
Mua gói Pro để tải file trên Download.vn (không bao gồm tài liệu cao cấp) và trải nghiệm website không quảng cáo
Tìm hiểu thêm »
SỞ GIÁO DỤC VÀ ĐÀO TẠO
|
KỲ THI GIẢI TOÁN TRÊN MÁY TÍNH CẦM TAY
|
Quy ước:
- Thí sinh làm bài trực tiếp vào bản đề thi này;
- Các bài toán có yêu cầu trình bày lời giải thì chỉ trình bày tóm tắt cách giải và công thức áp dụng;
- Các kết quả gần đúng thì lấy đến 4 chữ số thập phân sau dấu phẩy.
Câu 1 (5 điểm).
Tính giá trị của các biểu thức:
Câu 2 (5 điểm).
a) Tính giá trị và chỉ ghi kết quả dưới dạng phân số của biểu thức sau:
b) Tìm x biết:
Câu 3 (5 điểm).
a) Tìm chữ số hàng chục của 172009.
b) Tìm dư của phép chia 2468101214161820 chia cho 1357911?
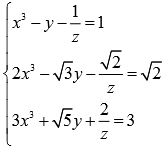
Câu 4 (5 điểm).
Giải hệ phương trình:
Câu 5 (5 điểm).
Một người bắt đầu đi làm với mức lương khởi điểm là 2 triệu đồng một tháng. Cứ sau 3 năm người đó được tăng lương thêm 8% lương cũ. Tính tiền lương tháng của người đó ở năm công tác thứ 31 (kết quả làm tròn đến 100 đồng).
Câu 6 (5 điểm).
Cho đa thức P(x) = x5 - ax4 + bx3 - cx2 + dx – 2010.
a) Xác định a, b, c, d biết P(1) = -2011; P(2) = -2084; P(3) = -2385; P(-1) = -2045.
b) Với các giá trị của a, b, c, d vừa tìm được, tìm số dư r của phép chia P(x) cho nhị thức: x - 1,25
Câu 7 (5 điểm).
Cho hai hàm số y = 3x + 1 (1) và y = -4x + 10 (2). Gọi A là giao điểm của đồ thị các hàm số (1) và (2); B, C lần lượt là giao điểm của đồ thị hàm số (1) và (2) với trục Ox.
a) Tính số đo góc BAC (làm tròn đến giây);
b) Tính diện tích tam giác ABC.
Câu 8 (5 điểm).
Cho hình thoi ABCD có chu vi bằng 20cm, tỉ lệ độ dài hai đường chéo là
. Tính diện tích hình thoi ABCD
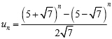
Câu 9 (5 điểm).
Cho dãy số: 
a) Tính 5 số hạng đầu: u0, u1, ..., u4 của dãy số;
b) Chứng minh rằng: un+2 = 10un+1 - 18un
Câu 10 (5 điểm).
Biết số có dạng
chia hết cho 24. Hãy tìm tất cả các số N.
Download tài liệu để xem thêm chi tiết
Theo Nghị định 147/2024/ND-CP, bạn cần xác thực tài khoản trước khi sử dụng tính năng này. Chúng tôi sẽ gửi mã xác thực qua SMS hoặc Zalo tới số điện thoại mà bạn nhập dưới đây: