Hỗ trợ tư vấn
Tư vấn - Giải đáp - Hỗ trợ đặt tài liệu
Mua gói Pro để tải file trên Download.vn (không bao gồm tài liệu cao cấp) và trải nghiệm website không quảng cáo
Tìm hiểu thêm »
SỞ GIÁO DỤC VÀ ĐÀO TẠO
|
KỲ THI GIẢI TOÁN TRÊN MÁY TÍNH CẦM TAY
|
Bài 1.
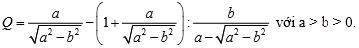
Cho biểu thức![]()
Tính giá trị của biểu thức Q khi ![]()
Bài 2.
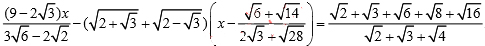
Tìm x:![]()
Bài 3.
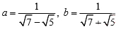
Tính giá trị của các biểu thức sau:
Bài 4.
Tìm x, y, z, t biết: 401( xyzt + xy + xt + zt + 1 ) = 1281( yzt + y + t ).
Bài 5.
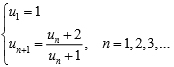
Cho dãy số (un) xác định bởi: 
Tìm u4, u8, u12, u16, u20.
Bài 6.
Cho tam giác ABC có diện tích bằng 2010cm2 và số đo các góc A, B, C tỉ lệ với các số 6, 5, 4. Tính độ dài các cạnh AB, AC và BC.
Bài 7.
Năm ngoái tổng dân số của hai tỉnh X và Y là 3500000 người. Dân số tỉnh X năm nay tăng 1,2 %, còn tỉnh Y tăng 1,4 %. Tổng dân số của hai tỉnh năm nay là 3545800 người. Tính dân số của mỗi tỉnh năm nay.
Bài 8.
Cho dãy số (un) được xác định bởi: u1 = 5, un+1 = un + 3n - 2 với n = 1, 2, 3...
a/ Tính tổng của 10 số hạng đầu tiên.
b/ Tính tích của 10 số hạng đầu tiên.
Bài 9.
Trong mặt phẳng tọa độ cho các điểm A(-6; 2), B(0; -2), C(5; 7). AH là đường cao (H thuộc BC), AD là phân giác trong góc A (D thuộc BC) của tam giác ABC.
a/ Tính diện tích tam giác ABC.
b/ Tính độ dài đường cao AH.
c/ Tính độ dài phân giác AD.
d/ Tính tỉ số SABD/SABC
Bài 10.
Cho hình chóp tứ giác đều S.ABCD có độ dài cạnh đáy AB = 3 +
(cm) và độ dài cạnh bên SA = 5 +
(cm).
a/ Tính diện tích toàn phần của hình chóp.
b/ Tính thể tích của hình chóp.
Download tài liệu để xem thêm chi tiết
Theo Nghị định 147/2024/ND-CP, bạn cần xác thực tài khoản trước khi sử dụng tính năng này. Chúng tôi sẽ gửi mã xác thực qua SMS hoặc Zalo tới số điện thoại mà bạn nhập dưới đây: