Hỗ trợ tư vấn
Tư vấn - Giải đáp - Hỗ trợ đặt tài liệu
Mua gói Pro để tải file trên Download.vn (không bao gồm tài liệu cao cấp) và trải nghiệm website không quảng cáo
Tìm hiểu thêm »
SỞ GIÁO DỤC VÀ ĐÀO TẠO
|
KỲ THI GIẢI TOÁN TRÊN MÁY TÍNH CẦM TAY
|
Bài 1: (5,0 điểm)
Cho biểu thức:![]()
Tính giá trị của biểu thức A với a = 3,33
Bài 2: (5,0 điểm)
a) Tính tổng: A = 1,(1) + 1,(12) + 1,(123) + 1,(1234) + 1,1(2) + 1,1(23) + 1,12(34)

Tính giá trị của a; b; c; d; e; f; g
Bài 3: (5 điểm)
Tìm số dư trong phép chia đa thức: f(x) = x2009 + x2008 + ... + x + 1 cho x2 – 1
Bài 4: (5 điểm)
Cho hình thang vuông ABCD có góc nhọn BCD = α ngoại tiếp đường tròn tâm O, bán kính r.
a) Viết công thức tính độ dài các cạnh của hình thang vuông ABCD theo r và α.
b) Tìm công thức tính chu vi P của hình thang vuông ABCD và công thức tính diện tích S của phần mặt phẳng giới hạn bởi đường tròn tâm (O) và hình thang vuông ABCD.
c) Cho biết α = 650 và r = 3,25 (cm) tính P và S.
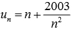
Bài 5: (5 điểm)
Giải phương trình: x2 - 2003[x] + 2002 = 0. Trong đó [x] là ký hiệu phần nguyên của x .
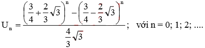
Bài 6: (5 điểm)
Tìm số hạng nhỏ nhất trong tất cả các số hạng của dãy số ![]()
Bài 7: (5 điểm)
Cho tam giác ABC có AB = 3,14 cm; BC = 4,25 cm; CA = 4,67 cm. Tính diện tích tam giác có đỉnh là chân ba đường cao của tam giác ABC.
Bài 8: (5 điểm)
Viết quy trình ấn phím để tìm một nghiệm dương và một nghiệm âm gần đúng của phương trình x3 -3x + 1 = 0 bằng phương pháp lặp.
Bài 9: (5,0 điểm)
Cho hình thang ABCD, có AB//CD và góc A, góc B là các góc tù. Kẻ đường phân giác của góc A và góc B cắt nhau tại E (với E thuộc CD ). Tính các cạnh của hình thang ABCD; biết chiều cao của hình thang bằng 12 cm, các phân giác AE = 13,6cm và BE = 16,9cm.
Bài 10: (5,0 điểm)
Cho dãy số: 
a) Tính 8 số hạng đầu tiên của dãy này.
b) Lập công thức truy hồi để tính: Un+2 theo Un+1 và Un.
c) Lập qui trình ấn phím liên tục để tính Un.
Download tài liệu để xem thêm chi tiết
Theo Nghị định 147/2024/ND-CP, bạn cần xác thực tài khoản trước khi sử dụng tính năng này. Chúng tôi sẽ gửi mã xác thực qua SMS hoặc Zalo tới số điện thoại mà bạn nhập dưới đây: