Hỗ trợ tư vấn
Tư vấn - Giải đáp - Hỗ trợ đặt tài liệu
Mua gói Pro để tải file trên Download.vn (không bao gồm tài liệu cao cấp) và trải nghiệm website không quảng cáo
Tìm hiểu thêm »
SỞ GIÁO DỤC VÀ ĐÀO TẠO
|
KỲ THI HỌC SINH GIỎI CẤP TỈNH GIẢI TOÁN TRÊN
|
Quy định:
1/ Thí sinh được sử dụng hai loại máy tính CASIO fx-500MS và CASIO fx-570 MS, hoặc các loại máy có chức năng tương đương.
2/ Nếu không yêu cầu thêm hãy tính chính xác đến 4chữ số thập phân (ghi vào ô kết quả tất cả những chữ số đọc được trên màn hình)
3/Thí sinh làm bài trực tiếp vào đề thi này. Nếu khung làm bài không đủ thì có thể làm tiếp ở mặt sau trang đề (lưu ý ghi rõ câu).
Bài 1: (2 điểm). Biết:

Tìm các số tự nhiên a, b, c, d, e, f, g.
Bài 2: (2 điểm)
a) Tìm ƯCLN và BCNN của 227285032 và 3896202912.
b) Tìm các ước nguyên tố của A = 19213 + 21473 + 25993
Bài 3: (2 điểm):
Cho đa thức P(x) = x5 + ax4 + bx3 + c02 + dx + e và cho biết P(1) 7, P(2) = 16, P(3) = 31, P(4) = 52, P(5) = 79.
Tính P(6), P(7), P(8), P(9), P(10), P(11)
Bài 4: (2 điểm):
a. Dân số của một thành phố năm 2008 là 350.000 người. Hỏi năm học 2008-2009, có bao nhiêu học sinh lớp 1 đến trường, biết trong 10 năm trở lại đây tỉ lệ tăng dân số mỗi năm của thành phố là 1,4% và thành phố thực hiện tốt chủ trương 100% trẻ em đúng độ tuổi đều đến lớp 1? (Kết quả làm tròn đến hàng đơn vị)
b. Nếu đến năm học 2016-2017, thành phố chỉ đáp ứng được 120 phòng học cho học sinh lớp 1, mỗi phòng dành cho 35 học sinh thì phải kiềm chế tỉ lệ tăng dân số mỗi năm là bao nhiêu, bắt đầu từ năm 2008? (Kết quả lấy với 2 chữ số ở phần thập phân)
Bài 5: (2 điểm)
Cho ba hàm số: ![]()
a) Vẽ đồ thị của ba hàm số trên mặt phẳng tọa độ của Oxy.
b) Tìm tọa độ giao điểm A(xA, yA) của hai đồ thị hàm số (1) và (2); giao điểm B(xB, yB) của hai đồ thị hàm số (2) và (3); giao điểm C (xC, yC) của hai đồ thị hàm số (1) và (3) (kết quả dưới dạng phân số hoặc hỗn số).
c) Tính các góc của tam giác ABC (lấy nguyên kết quả trên máy).
d) Viết phương trình đường thẳng là phân giác của góc BAC (hệ số góc lấy kết quả với hai chữ số ở phần thập phân)

Bài 6: (2 điểm)
Cho ba đường tròn với ba tâm A, B,C tiếp xúc nhau và cùng tiếp xúc với một đường thẳng (như hình vẽ). Biết bán kính của đường tròn tâm A và tâm B lần lượt là R1 = 25,68cm và R2 = 46,75cm. Tính gần đúng bán kính R của đường tròn tâm C.

Bài 7: (2 điểm)
Cho P(x) = x3 + ax2 + bx – 1.
a) Xác định số hữu tỉ a và b với
sao cho P(x)= 0.
b) Với giá trị a, b tìm được hãy tìm các nghiệm còn lại của P(x).
Bài 8: (2 điểm)
Cho điểm E nằm trên cạnh AC của tam giác ABC. Qua E kẻ ED, EF lần lượt song song với BC và AB (D thuộc AB; F thuộc BC). Đặt diện tích các tam giác ADE và CEF lần lượt là S1 và S2. Tính diện tích tam giác ABC, biết S1 = 101cm2; S2 = 143cm2.
Bài 9: (2 điểm)
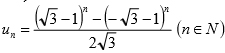
Cho 
a. Tính un+2 theo un+1 và un
b. Tính u24, u25, u26
Bài 10: (2 điểm)
Giải phương trình: ![]()
Download tài liệu để xem thêm chi tiết
Theo Nghị định 147/2024/ND-CP, bạn cần xác thực tài khoản trước khi sử dụng tính năng này. Chúng tôi sẽ gửi mã xác thực qua SMS hoặc Zalo tới số điện thoại mà bạn nhập dưới đây: