Hỗ trợ tư vấn
Tư vấn - Giải đáp - Hỗ trợ đặt tài liệu
Mua gói Pro để tải file trên Download.vn (không bao gồm tài liệu cao cấp) và trải nghiệm website không quảng cáo
Tìm hiểu thêm »
SỞ GIÁO DỤC VÀ ĐÀO TẠO
|
KỲ THI CHỌN HỌC SINH GIỎI CẤP TỈNH
|
Bài 1:
Tìm số tự nhiên N bé nhất thỏa N chia 30 dư 16, N chia 2012 dư 494
Bài 2:
Cho dãy số (un) biết u1 = 2011, u2 = 2012, un+2 = un+1 + un (n ≥ 1). Tính u10.
Bài 3:
Tìm số dư khi chia A = 555222 + 222555 + 2012 cho 7.
Bài 4:
Cho đa thức Q(x) = (2011x + 1)4. Tính tổng các hệ số của đa thức chính xác đến đơn vị.
Bài 5:
Cho tam giác ABC có góc B = 2 góc C, AB = 8cm, BC = 10cm. Tính AC
Bài 6:
. Tính giá trị gần đúng của S15.
Bài 7:
Tìm hai chữ số tận cùng của số: N = 22010 + 22011 + 22012
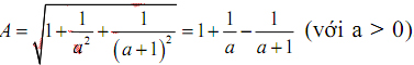
Bài 8:
Biết rằng
. Áp dụng công thức trên tính giá trị của
Bài 9:
Một người được lĩnh lương khởi điểm là 700.000đ/tháng. Cứ ba năm anh ta lại được tăng lương thêm 7%. Hỏi sau 36 năm làm việc anh ta được lĩnh tất cả bao nhiêu tiền (Lấy chính xác đến hàng đơn vị).
Bài 10:
Cho tam giác đều ABC có cạnh bằng 60cm. Trên cạnh BC lấy điểm D sao cho DB = 20cm. Đường trung trực của đoạn AD cắt AB và AC theo thứ tự ở E và F. Tính chu vi tam giác DEF.
Download tài liệu để xem thêm chi tiết
Theo Nghị định 147/2024/ND-CP, bạn cần xác thực tài khoản trước khi sử dụng tính năng này. Chúng tôi sẽ gửi mã xác thực qua SMS hoặc Zalo tới số điện thoại mà bạn nhập dưới đây: