Đề thi - Đáp án thi tuyển sinh lớp 10 THPT TP Hồ Chí Minh năm 2014 - 2015 Môn: Toán, Ngữ văn - Có hướng dẫn

Download.vn xin giới thiệu tới bạn đọc "Đề thi - Đáp án kỳ thi thi tuyển sinh lớp 10 THPT Thành phố Hồ Chí Minh năm học 2014 - 2015" gồm các môn: Toán, Tiếng Anh.

Đề thi tuyển sinh lớp 10 THPT TP HCM môn Toán:

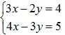
Bài 1: (2 điểm) Giải các phương trình và hệ phương trình sau:

a) x2 - 7x + 12 = 0

b) x2 - (√2 + 1)x + √2 = 0

c) x4 - 9x2 + 20 = 0

d)

Bài 2: (1,5 điểm)

a) Vẽ đồ thị (P) của hàm số y = x2 và đường thẳng (D): y = 2x + 3 trên cùng một hệ trục toạ độ.

b) Tìm toạ độ các giao điểm của (P) và (D) ở câu trên bằng phép tính.

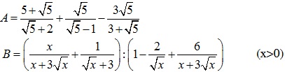
Bài 3: (1,5 điểm)

Thu gọn các biểu thức sau:

Đề thi - Đáp án thi tuyển sinh lớp 10 THPT TP Hồ Chí Minh năm 2014 - 2015

Bài 4: (1,5 điểm)

Cho phương trình x2 - mx - 1 = 0 (1) (x là ẩn số)

a) Chứng minh phương trình (1) luôn có 2 nghiệm trái dấu

b) Gọi x1, x2 là các nghiệm của phương trình (1):

Tính giá trị của biểu thức: Đề thi - Đáp án thi tuyển sinh lớp 10 THPT TP Hồ Chí Minh năm 2014 - 2015

Bài 5: (3,5 điểm)

Cho tam giác ABC có ba góc nhọn, nội tiếp đường tròn tâm O (AB < AC). Các đường cao AD và CF của tam giác ABC cắt nhau tại H.

a. Chứng minh tứ giác BFHD nội tiếp. Suy ra góc AHC = 180o - ABC

b. Gọi M là điểm bất kì trên cung nhỏ BC của đường tròn (O) (M khác B và C) và N là điểm đối xứng của M qua AC. Chứng minh tứ giác AHCN nội tiếp.

c. Gọi I là giao điểm của AM và HC; J là giao điểm của AC và HN. Chứng minh góc AJI = ANC

d. Chứng minh rằng: OA vuông góc với IJ

Chia sẻ bởi: 👨 Jack
Liên kết tải về

Chọn file cần tải:

Xác thực tài khoản!

Theo Nghị định 147/2024/ND-CP, bạn cần xác thực tài khoản trước khi sử dụng tính năng này. Chúng tôi sẽ gửi mã xác thực qua SMS hoặc Zalo tới số điện thoại mà bạn nhập dưới đây:

Số điện thoại chưa đúng định dạng!
Số điện thoại này đã được xác thực!
Bạn có thể dùng Sđt này đăng nhập tại đây!
Lỗi gửi SMS, liên hệ Admin
Sắp xếp theo
👨
Đóng
Chỉ thành viên Download Pro tải được nội dung này! Download Pro - Tải nhanh, website không quảng cáo! Tìm hiểu thêm
Nhắn tin Zalo