Đề thi - Đáp án thi tuyển sinh lớp 10 THPT tỉnh Long An năm 2014 - 2015 Môn: Toán, Ngữ văn - Có hướng dẫn

Download.vn xin giới thiệu tới bạn đọc "Đề thi - Đáp án kỳ thi thi tuyển sinh lớp 10 THPT tỉnh Long An năm học 2014 - 2015" gồm các môn: Toán, Ngữ văn.

Đề thi tuyển sinh lớp 10 THPT tỉnh Long An môn Toán:

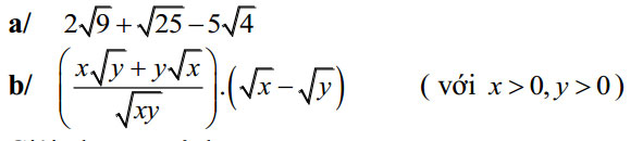
Câu 1: (2 điểm)

Bài 1: Rút gọn các biểu thức sau:

Đề thi - Đáp án thi tuyển sinh lớp 10 THPT Long An

Bài 2: Giải phương trình:

Đề thi - Đáp án thi tuyển sinh lớp 10 THPT Long An

Câu 2: (2 điểm)

Cho các hàm số (P): y = 2x và (d): y = - x + 3.

a/ Vẽ đồ thị của hai hàm số trên cùng mặt phẳng tọa độ Oxy.

b/ Tìm tọa độ giao điểm của hai đồ thị trên.

Câu 3: (2 điểm)
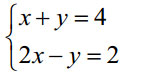
a/ Giải phương trình: 2x2 - 7x + 6 = 0
b/ Giải hệ phương trình: Đề thi - Đáp án thi tuyển sinh lớp 10 THPT Long An

c/ Cho phương trình ẩn x: x2 +2mx + m2 - m + 1 = 0 (với m là tham số)

Tìm m để phương trình trên có nghiệm kép.Tính nghiệm kép đó với m vừa tìm được.

Câu 4: (4 điểm)

Bài 1:

Cho tam giác ABC vuông tại A có AB = 3 cm, BC = 5 cm, AH là chiều cao của tam giác ABC. Tính độ dài AC và AH.

Bài 2 :

Cho tam giác nhọn ABC nội tiếp đường tròn (O;R). Ba đường cao AE, BF, CG cắt nhau tại H (với E Đề thi - Đáp án thi tuyển sinh lớp 10 THPT Long An

a/ Chứng minh các tứ giác AFHG và BGFC là các tứ giác nội tiếp.

b/ Gọi I và M lần lượt là tâm các đường tròn ngoại tiếp của các tứ giác AFHG và BGFC. Chứng minh MG là tiếp tuyến của đường tròn tâm I .

c/ Gọi D là giao điểm thứ hai của AE với đường tròn tâm O. Chứng minh:

EA2 + EB2 + EC2 + ED2 = 4R2

Tải thêm: Đề thi tuyển sinh lớp 10 THPT Long An 2014 môn Văn

Download tài liệu để xem thêm chi tiết.

Chia sẻ bởi: 👨 Trịnh Thị Lương
Liên kết tải về

Chọn file cần tải:

Xác thực tài khoản!

Theo Nghị định 147/2024/ND-CP, bạn cần xác thực tài khoản trước khi sử dụng tính năng này. Chúng tôi sẽ gửi mã xác thực qua SMS hoặc Zalo tới số điện thoại mà bạn nhập dưới đây:

Số điện thoại chưa đúng định dạng!
Số điện thoại này đã được xác thực!
Bạn có thể dùng Sđt này đăng nhập tại đây!
Lỗi gửi SMS, liên hệ Admin
Sắp xếp theo
👨
Đóng
Chỉ thành viên Download Pro tải được nội dung này! Download Pro - Tải nhanh, website không quảng cáo! Tìm hiểu thêm
Nhắn tin Zalo