Đề thi - Đáp án thi tuyển sinh lớp 10 THPT tỉnh Đăk Lăk năm 2014 - 2015 Môn: Toán, Ngữ văn - Có hướng dẫn

Download.vn xin giới thiệu tới bạn đọc "Đề thi - Đáp án kỳ thi thi tuyển sinh lớp 10 THPT tỉnh Đăk Lăk năm học 2014 - 2015" gồm các môn: Toán, Ngữ văn.

Đề thi tuyển sinh lớp 10 THPT tỉnh Đăk Lăk môn Toán:

Câu 1: (1,5 điểm)

1) Giải phương trình: x2 – 3x + 2 = 0

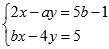
2) Cho hệ phương trình: Đề thi - Đáp án thi tuyển sinh lớp 10 THPT tỉnh Đăk Lăk. Tìm a, b biết hệ có nghiệm Đề thi - Đáp án thi tuyển sinh lớp 10 THPT tỉnh Đăk Lăk

Câu 2: (2 điểm)

Cho phương trình: x2 – 2(m + 1)x + m2 + 3m + 2 = 0 (1). (m là tham số)

1) Tìm các giá trị của m để phương trình (1) có hai nghiệm phân biệt.

2) Tìm các giá trị của m để phương trình (1) có hai nghiệm phân biệt x1, x2 thõa mãn: x12 + x22 = 12.

Câu 3: (2 điểm)

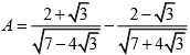
1) Rút gọn biểu thức: Đề thi - Đáp án thi tuyển sinh lớp 10 THPT tỉnh Đăk Lăk

2) Viết phương trình đường thẳng đi qua điểm A(0; 1) và song song với đường thẳng d: x + y = 10.

Câu 4: (3,5 điểm)

Cho tam giác đều ABC có đường cao AH, lấy điểm M tùy ý thuộc đoạn HC (M không trùng với H, C). Hình chiếu vuông góc của M lên các cạnh AB, AC lần lượt là P và Q.

1) Chứng minh rằng APMQ là tứ giác nội tiếp và xác định tâm O của đường tròn ngoại tiếp tứ giác APMQ.

2) Chứng minh rằng: BP.BA = BH.BM

3) Chứng minh rằng: OH vuông góc PQ.

4) Chứng minh rằng khi M thay đổi trên HC thì MP + MQ không đổi.

Câu 5: (1 điểm)

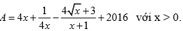
Tìm giá trị nhỏ nhất của biểu thức: Đề thi - Đáp án thi tuyển sinh lớp 10 THPT tỉnh Đăk Lăk

Tải thêm: Đề thi tuyển sinh lớp 10 THPT tỉnh Đăk Lăk môn Văn

Download tài liệu để xem thêm chi tiết.

Chia sẻ bởi: 👨 Nguyễn Thu Ngân
Liên kết tải về

Chọn file cần tải:

Xác thực tài khoản!

Theo Nghị định 147/2024/ND-CP, bạn cần xác thực tài khoản trước khi sử dụng tính năng này. Chúng tôi sẽ gửi mã xác thực qua SMS hoặc Zalo tới số điện thoại mà bạn nhập dưới đây:

Số điện thoại chưa đúng định dạng!
Số điện thoại này đã được xác thực!
Bạn có thể dùng Sđt này đăng nhập tại đây!
Lỗi gửi SMS, liên hệ Admin
Sắp xếp theo
👨
Đóng
Chỉ thành viên Download Pro tải được nội dung này! Download Pro - Tải nhanh, website không quảng cáo! Tìm hiểu thêm
Nhắn tin Zalo