Hỗ trợ tư vấn
Tư vấn - Giải đáp - Hỗ trợ đặt tài liệu
Mua gói Pro để tải file trên Download.vn (không bao gồm tài liệu cao cấp) và trải nghiệm website không quảng cáo
Tìm hiểu thêm »|
SỞ GIÁO DỤC VÀ ĐÀO TẠO Đề chính thức |
KỲ THI CHỌN ĐỘI TUYỂN DỰ THI Môn: TOÁN - Vòng 1 |
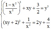
Câu 1. Giải hệ phương trình:

Câu 2. Dãy số (an) được xác định: a1 = 1; a2 = 2 và an+2 = 2an+1 - an + 2 với mọi n thuộc N*.
Xét xem số uk = ak+2012.ak+2013 với k thuộc N* có phải là số hạng của dãy số (an) hay không?
Câu 3.
Chứng minh rằng phương trình sau có vô số nghiệm nguyên: 2011x2 - 2012y2 + 20132 = 0.
Câu 4.
Cho tam giác nhọn ABC nội tiếp đường tròn (O) có H là trực tâm. Gọi A', B', C' theo thứ tự là giao điểm thứ hai của các đường thẳng AH, BH, CH với đường tròn (O). Một điểm D nằm trên đường tròn (D khác các điểm A, B, C, A’, B’, C’). Gọi A'', B'', C'' lần lượt là giao điểm của DA' với BC, DB' với AC, DC' với AB. Chứng minh rằng bốn điểm A'', B'', C'' và H thẳng hàng.
Câu 5.
Trong kỳ thi chọn đội tuyển học sinh giỏi toán của một tỉnh có 20 em tham gia. Mỗi học sinh phải thi 2 vòng, mỗi vòng được gọi là một bài thi. Điểm của mỗi bài thi được cho là một số tự nhiên từ 1 đến 10. Phương thức chọn đội tuyển là so sánh kết quả điểm của từng bài thi tương ứng (vòng 1, vòng 2 ) giữa các thí sinh. Thí sinh A gọi là so sánh được với thí sinh B nếu điểm mỗi bài thi của A không nhỏ hơn điểm mỗi bài thi tương ứng của B. Biết rằng không có hai thí sinh nào có cùng cặp điểm số tương ứng. Chứng minh rằng có thể chọn được ba thí sinh A, B, C sao cho A so sánh được với B và B so sánh được với C.
Download tài liệu để xem chi tiết.
Theo Nghị định 147/2024/ND-CP, bạn cần xác thực tài khoản trước khi sử dụng tính năng này. Chúng tôi sẽ gửi mã xác thực qua SMS hoặc Zalo tới số điện thoại mà bạn nhập dưới đây: