Hỗ trợ tư vấn
Tư vấn - Giải đáp - Hỗ trợ đặt tài liệu
Mua gói Pro để tải file trên Download.vn (không bao gồm tài liệu cao cấp) và trải nghiệm website không quảng cáo
Tìm hiểu thêm »|
SỞ GIÁO DỤC VÀ ĐÀO TẠO ĐỀ THI CHÍNH THỨC |
KÌ THI CHỌN HỌC SINH GIỎI TỈNH Môn thi: TOÁN |
Câu I (2,0 điểm)
1) Cho hàm số y = x3 + 2mx2 - 3x (1) và đường thẳng (Δ): y = 2mx - 2 (với m là tham số). Tìm m để đường thẳng (Δ) và đồ thị hàm số (1) cắt nhau tại ba điểm phân biệt A, B, C sao cho diện tích tam giác OBC bằng √17 (với A là điểm có hoành độ không đổi và O là gốc toạ độ).
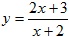
2) Cho hàm số
có đồ thị (C) và đường thẳng d: y = -2x + m. Chứng minh rằng d cắt (C) tại hai điểm A, B phân biệt với mọi số thực m. Gọi k1, k2 lần lượt là hệ số góc của tiếp tuyến của (C) tại A và B. Tìm m để đạt giá trị nhỏ nhất.
Câu II (2,0 điểm)
1) Giải phương trình: ![]()
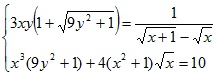
2) Giải hệ phương trình: 
Câu III (2,0 điểm)
1) Rút gọn biểu thức: ![]()
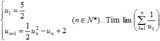
2) Cho dãy số (un) thỏa mãn: 
Câu IV (3,0 điểm)
1) Cho khối chóp S.ABC có SA = 2a, SB = 3a, SC = 4a, góc ASB = SAC = 90o, góc BSC = 120o. Gọi M, N lần lượt trên các đoạn SB và SC sao cho SM = SN = 2a. Chứng minh tam giác AMN vuông. Tính khoảng cách từ điểm C đến mặt phẳng (SAB) theo a.
2) Cho tứ diện đều ABCD cạnh a, hai điểm M, N chạy tương ứng trên các đoạn AB và CD sao cho BM = DN. Tìm giá trị lớn nhất, nhỏ nhất của MN.
Câu V (1,0 điểm) Cho 3 số thực x, y, z thỏa mãn: xyz = 2√2.
Chứng minh rằng: ![]()
-------------------------------------------------------
|
SỞ GIÁO DỤC VÀ ĐÀO TẠO ĐỀ THI CHÍNH THỨC |
KÌ THI CHỌN HỌC SINH GIỎI TỈNH Môn thi: NGỮ VĂN |
Câu 1 (3,0 điểm)
Câu chuyện của hai hạt mầm
Có hai hạt mầm nằm cạnh nhau trên một mảnh đất màu mỡ. Hạt mầm thứ nhất nói: Tôi muốn lớn lên thật nhanh. Tôi muốn bén rễ sâu xuống lòng đất và đâm chồi nảy lộc xuyên qua lớp đất cứng phía trên...
Tôi muốn nở ra những cánh hoa dịu dàng như dấu hiệu chào đón mùa xuân... Tôi muốn cảm nhận sự ấm áp của ánh mặt trời và thưởng thức những giọt sương mai đọng trên cành lá.
Và rồi hạt mầm mọc lên.
Hạt mầm thứ hai bảo:
- Tôi sợ lắm. Nếu bén những nhánh rễ vào lòng đất sâu bên dưới, tôi không biết sẽ gặp phải điều gì ở nơi tối tăm đó. Và giả như những chồi non của tôi có mọc ra, đám côn trùng sẽ kéo đến và nuốt ngay lấy chúng. Một ngày nào đó, nếu những bông hoa của tôi có thể nở ra được thì bọn trẻ con cũng sẽ vặt lấy mà đùa nghịch thôi. Không, tốt hơn hết là tôi nên nằm ở đây cho đến khi cảm thấy thật an toàn đã.
Và rồi hạt mầm nằm im và chờ đợi.
Một ngày nọ, một chú gà đi loanh quanh trong vườn tìm thức ăn, thấy hạt mầm nằm lạc lõng trên mặt đất bèn mổ ngay lập tức.
(THẢO NGUYÊN, Nguồn: Hạt giống tâm hồn - Từ những điều bình dị - First News và NXB Tổng hợp TPHCM phối hợp ấn hành)
Suy nghĩ của anh (chị) về vấn đề đặt ra trong câu chuyện trên?
Câu 2 (7,0 điểm)
Bàn về lao động nghệ thuật của nhà văn, Mác-xen Pruxt cho rằng:
“Một cuộc thám hiểm thực sự không phải ở chỗ cần một vùng đất mới mà cần một đôi mắt mới”.
Anh (chị) hiểu ý kiến trên như thế nào? Bằng hiểu biết về truyện ngắn “Chí Phèo” của Nam Cao và bài thơ “Tây Tiến” của Quang Dũng, hãy làm rõ quan niệm nghệ thuật của Mác-xen Pruxt.
Download tài liệu để xem chi tiết.
Theo Nghị định 147/2024/ND-CP, bạn cần xác thực tài khoản trước khi sử dụng tính năng này. Chúng tôi sẽ gửi mã xác thực qua SMS hoặc Zalo tới số điện thoại mà bạn nhập dưới đây: