Đề thi chọn học sinh giỏi thi Quốc gia lớp 12 tỉnh Hà Tĩnh năm 2012 - 2013 (Vòng 2) Môn: Toán, Vật lý, Địa lý, Tin học

SỞ GIÁO DỤC VÀ ĐÀO TẠO
HÀ TĨNH

Đề chính thức

KỲ THI CHỌN ĐỘI TUYỂN DỰ THI
HỌC SINH GIỎI QUỐC GIA LỚP 12 THPT NĂM HỌC 2012-2013

Môn: TOÁN - Vòng 2
Thời gian làm bài: 180 phút

Câu 1.

Chứng minh rằng với mọi m thuộc R, phương trình sau luôn có nghiệm thực: m3sin4x – 2m3sin2x + sinx + m3 – m = 0.

Câu 2.

Cho ba số thực dương a, b, c thỏa mãn: ab + bc + ca = 3abc. Tìm giá trị nhỏ nhất của biểu thức:

Đề thi chọn học sinh giỏi thi Quốc gia lớp 12 tỉnh Hà Tĩnh

Câu 3.

Chứng minh rằng với mọi số nguyên dương n thì Đề thi chọn học sinh giỏi thi Quốc gia lớp 12 tỉnh Hà Tĩnh là tổng của hai số chính phương liên tiếp.

Câu 4.

Cho 3 điểm A, B, C phân biệt và thẳng hàng (theo thứ tự đó). Gọi d và lần lượt là các đường thẳng vuông góc với đường thẳng AC tại A và C; M là một điểm di động trên Δ. Từ M kẻ các tiếp tuyến MD, ME đến đường tròn đường kính AB với D, E là các tiếp điểm. Các tiếp tuyến đó cắt d tương ứng tại các điểm P, Q. Gọi R và S lần lượt là giao điểm của d với các đường thẳng BD và BE.

a. Chứng minh rằng đường tròn ngoại tiếp tam giác BRS luôn đi qua hai điểm cố định.

b. Xác định vị trí của điểm M trên Δ để tam giác MPQ có chu vi nhỏ nhất.

Câu 5.

Cho đa thức f(x) với hệ số thực, có bậc không nhỏ hơn 1 và đồng thời thoả mãn hai điều kiện sau:

a. Phương trình f(x) = 0 không có nghiệm bội.

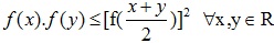
b. Đề thi chọn học sinh giỏi thi Quốc gia lớp 12 tỉnh Hà Tĩnh

Chứng minh rằng phương trình f(x) = 0 có duy nhất một nghiệm thực.

Download tài liệu để xem chi tiết.

Chia sẻ bởi: 👨 Nguyễn Thu Ngân
Liên kết tải về

Chọn file cần tải:

Tìm thêm: Toán 12
Xác thực tài khoản!

Theo Nghị định 147/2024/ND-CP, bạn cần xác thực tài khoản trước khi sử dụng tính năng này. Chúng tôi sẽ gửi mã xác thực qua SMS hoặc Zalo tới số điện thoại mà bạn nhập dưới đây:

Số điện thoại chưa đúng định dạng!
Số điện thoại này đã được xác thực!
Bạn có thể dùng Sđt này đăng nhập tại đây!
Lỗi gửi SMS, liên hệ Admin
Sắp xếp theo
👨
Đóng
Chỉ thành viên Download Pro tải được nội dung này! Download Pro - Tải nhanh, website không quảng cáo! Tìm hiểu thêm
Nhắn tin Zalo