Hỗ trợ tư vấn
Tư vấn - Giải đáp - Hỗ trợ đặt tài liệu
Mua gói Pro để tải file trên Download.vn (không bao gồm tài liệu cao cấp) và trải nghiệm website không quảng cáo
Tìm hiểu thêm »Giải Công nghệ 12 Bài 3: Mạch điện xoay chiều ba pha giúp các em học sinh lớp 12 tham khảo, biết cách trả lời toàn bộ câu hỏi trong sách giáo khoa Công nghệ 12 Kết nối tri thức trang 17, 18, 19, 20, 21.
Với lời giải trình bày rõ ràng, cẩn thận, dễ hiểu nhằm giúp học sinh nhanh chóng biết cách làm bài. Đồng thời, cũng là tài liệu hữu ích giúp thầy cô thuận tiện trong việc hướng dẫn học sinh ôn tập Bài 3 Chương II: Hệ thống điện quốc gia - Phần 1: Công nghệ điện SGK Công nghệ Điện - Điện tử 12 Kết nối tri thức. Vậy chi tiết mời thầy cô và các em cùng theo dõi bài viết dưới đây của Download.vn:
Em hãy cho biết:
- Trong Hình 3.2, sơ đồ nào mô tả cấu tạo máy phát điện một pha và ba pha?

- Trong Hình 3.3 đồ thị nào biểu diễn sức điện động tức thời một pha và ba pha?

Lời giải:
- Trong Hình 3.2 có:
- Trong Hình 3.3 có:
- Khác biệt chính giữa máy phát điện một pha và ba pha là dây quấn:
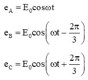
Quan sát Hình 3.3b và viết biểu thức suất điện động tức thời eA, eB, eC trên các pha của máy phát điện ba pha.

Lời giải:
Biểu thức suất điện động tức thời eA, eB, eC trên các pha của máy phát điện ba pha như sau:

Cho mạch điện ba pha tải đối xứng nối theo hình sao trong đó điện áp pha Up = 220 V và tải ba pha gồm 3 điện trở R= 50Ω. Tính dòng điện pha, dòng điện dây và điện áp dây của mạch.
Lời giải:
Cho biết:
Up = 220 V
R = 50 Ω
Nối hình sao.
Ip = ?
Id = ?
Ud = ?
Bài giải
Ta có:
\(𝐼_p=\frac{U_p}{R}=\frac{220}{50}=4,4𝐴\)
Do tải nối hình sao nên: 𝐼𝑑 = 𝐼𝑝 = 4,4𝐴
\(U_d=\sqrt{3}U_p=220\sqrt{3}V\)
Cho mạch điện ba pha tải đối xứng nối theo hình tam giác trong đó điện áp dây Ud = 380V và tải ba pha gồm 3 điện trở R= 50Ω. Tính dòng điện pha, dòng điện dây và điện áp pha của mạch.
Lời giải:
Cho biết:
Ud = 380 V
R = 50 Ω
Nối hình tam giác.
Ip = ?
Id = ?
Up = ?
Bài giải
Do tải nối hình tam giác nên: 𝑈𝑝 = 𝑈𝑑 = 380𝑉
Ta có:
\(𝐼𝑝=\frac{𝑈𝑝}{R}=\frac{380}{50}=7,6𝐴\)
Dòng điện dây là:
\(𝐼𝑑=\sqrt{3}𝐼𝑝\approx13,16𝐴\)
Quan sát Hình 3.8 và cho biết nguồn điện và các tải ba pha 1, 2, 3 được nối theo hình gì?

Lời giải:
- Nguồn điện nối hình sao có dây trung tính.
- Tải 1 nối hình sao
- Tải 2 nối hình tam giác
- Tải 3 nối hình sao có dây trung tính
Cho nguồn điện xoay chiều ba pha, bốn dây có điện áp dây/pha là 380/220 V, 6 bóng đèn loại 60 W - 220 V và một máy bơm nước ba pha 2,2 kW – 380 V. Xác định cách nối các thiết bị với nguồn điện để chúng hoạt động bình thường trong mạch ba pha đối xứng và tính các thông số dây và pha của mạch điện.
Mạng điện trong gia đình em dùng nguồn một pha hay ba pha? Trường hợp nào cần dùng nguồn ba pha?
Lời giải:
- Mạng điện trong gia đình em dùng nguồn một pha.
- Mạng điện nhà em sẽ dùng nguồn ba pha nếu sử dụng máy xát gạo.
Theo Nghị định 147/2024/ND-CP, bạn cần xác thực tài khoản trước khi sử dụng tính năng này. Chúng tôi sẽ gửi mã xác thực qua SMS hoặc Zalo tới số điện thoại mà bạn nhập dưới đây: