Hỗ trợ tư vấn
Tư vấn - Giải đáp - Hỗ trợ đặt tài liệu
Mua gói Pro để tải file trên Download.vn (không bao gồm tài liệu cao cấp) và trải nghiệm website không quảng cáo
Tìm hiểu thêm »Tài liệu này được biên soạn cho lớp tập huấn giáo viên Giải toán trên máy tính điện tử năm học 2011-2012 của Sở Giáo dục và Đào tạo Hà Nội. Tài liệu được biên soạn dựa theo bản thảo cuốn sách Các dạng toán thi học sinh giỏi Giải toán trên máy tính điện tửkhoa học, Tập I: Trung học Cơsở.
Tài liệu tập hợp các đề thi học sinh giỏi Giải toán trên máy tính điện tử và được chia làm tám Chương: S nguyên, Số học, Đại số, Thống kê, Dãy số, Lượng giác, Hình học, và Các bài toán khác.
Ngay cả học sinh lớp 4, lớp 5 cũng có thế sử dụng máy tính để nghiên cứu toán (phát hiện các qui luật ẩn tàng trong các số tự nhiên). Dưới đây là một số ví dụ.
Bài 1.1: Hãy tính trên máy:

Điều thú vị ở đây là: Tổng và tích các số trong mỗi cặp chỉ khác nhau về vị trí các chữ số. Còn các số như vậy không? - Chưa có câu trả lời.
Bài 1.2: Dùng máy tính để kiểm tra: 2012×9999=20117988; 1909×9999=19088091.
Qui luật: Nhân một số có bốn chữ số với 9999 được một số có 8 chữ số, bốn chữ số đầu chính là số đó bớt đi 1 đơn vị, bốn chữ số sau phụ với bốn chữ số đã cho để được 9999.
Hãy kiểm tra trên máy tính và chứng minh qui luật trên.
Bài 1.3: Dùng máy tính để phát hiện điều thú vị sau:

Chứng minh rằng (mỗi nhóm có k chữ số 3):
![]()
Một hạn chế của máy tính điện tử khoa học là khả năng hiển thị trên màn hình thường chỉ là 10 hoặc 12 chữ số. Vì vậy, nhiều bài toán không thể tính được trên máy tính điện tử khoa học, nếu không có sáng tạo trong sử dụng máy tính.
Thí dụ sau đây minh họa điều đó.
Bài 2.1: (Bộ Giáo dục và Đào tạo, Trung học Cơ sở, 2007-2008)
Tính giá trị của biểu thức: A = 135791x + 2468242
Bài 2.2: (Bộ Giáo dục và Đào tạo, lớp 9, 2004)
Tính kết quả đúng của các tích sau:
M = 20032003 × 20042004; N = 2222255555 × 2222266666.
Bài 2.3: (Sở GD và ĐT Thừa Thiên Huế, Trung học Cơ sở, 01.02. 2007)
Tính kết quả đúng (không sai số) của các tích sau:
1) P = 11232006 × 11232007;
2) Q = 7777755555 × 7777799999
Bài 2.4: (Sở Giáo dục và Đào tạo Thừa Thiên-Huế, Lớp 8-9, 2005)
Tính kết quả đúng của các tích sau:
M = 3344355664 × 3333377777; N = 1234563
Bài 2.5 (Thi chọn đội tuyển Phú Thọ, Lớp 12 THBT, 2005)
Tìm số các chữ số của: 3659893456789325678 × 342973489379256.
.....
Dạng toán 1: Tính toán với các phân số
Bài 1.1 (Sở Giáo dục Đào tạo Đồng Nai, Trung học Cơsở, 1998; Phòng Giáo dục Đào tạo huyện Bảo Lâm, Lâm Đồng, 2004)
Tính (kết quả được ghi bằng phân số và số thập phân):
![]()
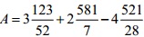
Bài 1.2 (Sở Giáo dục Đào tạo Cần Thơ, Trung học Cơ sở, 1998)

Bài 1.3 (Sở Giáo dục và Đào tạo Phú Yên, lớp 9, 2009-2010)
![]()
Bỏ số nào trong tổng trên để A = 2?
Download tài liệu để xem chi tiết.
Theo Nghị định 147/2024/ND-CP, bạn cần xác thực tài khoản trước khi sử dụng tính năng này. Chúng tôi sẽ gửi mã xác thực qua SMS hoặc Zalo tới số điện thoại mà bạn nhập dưới đây: