Đề thi học sinh giỏi lớp 11 THPT tỉnh Vĩnh Phúc năm 2012 môn Toán - Có đáp án Sở GD&ĐT Vĩnh Phúc

SỞ GIÁO DỤC VÀ ĐÀO TẠO
TỈNH VĨNH PHÚC

(ĐỀ THI CHÍNH THỨC)

KỲ THI CHỌN HSG LỚP 11 NĂM HỌC 2011-2012
ĐỀ THI MÔN: TOÁN

Dành cho học sinh THPT không chuyên
Thời gian làm bài: 180 phút, không kể thời gian giao đề

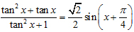
Câu 1 (1,5 điểm).

Giải phương trình:

Câu 2 (3,0 điểm).

1. Gọi A là tập hợp tất cả các số tự nhiên có 5 chữ số. Chọn ngẫu nhiên một số từ tập A, tính xác suất để chọn được một số chia hết cho 7 và chữ số hàng đơn vị bằng 1.

2. Chứng minh đẳng thức sau:

Câu 3 (2,5 điểm).

1. Chứng minh rằng phương trình 8x3 - 6x - 1 = 0 có ba nghiệm thực phân biệt. Hãy tìm 3 nghiệm đó.

2. Cho dãy số (un) được xác định bởi: u1 = sin1, , với mọi n thuộc ¥, n ≥ 2. Chứng minh rằng dãy số (un) xác định như trên là một dãy số bị chặn.

Câu 4 (3,0 điểm).

1. Cho hình chóp tứ giác S.ABCD có đáy ABCD là hình vuông cạnh bằng a√2, các cạnh bên bằng nhau và bằng 3a (a > 0). Hãy xác định điểm O sao cho O cách đều tất cả các đỉnh của hình chóp S.ABCD và tính độ dài SO theo a.

2. Cho hình chóp S.ABC có đường thẳng SA vuông góc với mặt phẳng (SBC). Gọi H là hình chiếu của S lên mặt phẳng (ABC). Chứng minh rằng đường thẳng SB vuông góc với đường thẳng SC, biết rằng .

3. Cho tứ diện ABCD thỏa mãn điều kiện AB = CD, BC = AD, AC = BD và một điểm X thay đổi trong không gian. Tìm vị trí của điểm X sao cho tổng XA + XB + XC + XD đạt giá trị nhỏ nhất.

Download tài liệu để xem thêm chi tiết.

Chia sẻ bởi: 👨 Nguyễn Thu Ngân
Liên kết tải về
Tìm thêm: Toán 11
Xác thực tài khoản!

Theo Nghị định 147/2024/ND-CP, bạn cần xác thực tài khoản trước khi sử dụng tính năng này. Chúng tôi sẽ gửi mã xác thực qua SMS hoặc Zalo tới số điện thoại mà bạn nhập dưới đây:

Số điện thoại chưa đúng định dạng!
Số điện thoại này đã được xác thực!
Bạn có thể dùng Sđt này đăng nhập tại đây!
Lỗi gửi SMS, liên hệ Admin
Sắp xếp theo
👨
Đóng
Chỉ thành viên Download Pro tải được nội dung này! Download Pro - Tải nhanh, website không quảng cáo! Tìm hiểu thêm
Nhắn tin Zalo