Hỗ trợ tư vấn
Tư vấn - Giải đáp - Hỗ trợ đặt tài liệu
Mua gói Pro để tải file trên Download.vn (không bao gồm tài liệu cao cấp) và trải nghiệm website không quảng cáo
Tìm hiểu thêm »Tổng hợp 50 đề ôn tập Toán 8 cơ bản, giúp các em học sinh tự bồi dưỡng nâng cao kiến thức
Câu 1:
Cho: ![]()
Tính giá trị P = x + y + xy
Câu 2:
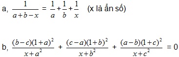
Giải phương trình:
(a,b,c là hằng số và đôi một khác nhau)
Câu 3:
Xác định các số a, b biết: ![]()
Câu 4:
Chứng minh phương trình: 2x2 – 4y = 10 không có nghiệm nguyên.
Câu 5:
Cho tam giác ABC; AB = 3AC. Tính tỷ số đường cao xuất phát từ B và C
Câu 1:
Cho a, b, c thoả mãn: ![]()
Tính giá trị: ![]()
Câu 2:
Xác định a, b để f(x) = 6x4 – 7x3 + ax2 + 3x + 2
Chia hết cho y(x) = x2 – x + b
Câu 3:
Giải phương trình:
a, (x - 4)(x - 5)(x - 6)(x - 7) = 1680.
b, 4x2 + 4y – 4xy +5y2 + 1 = 0
Câu 4:
Tìm giá trị lớn nhất của phân số mà tử số là một số có 3 chữ số mà mẫu là tổng các chữ số của nó.
Câu 5:
Cho ABC cân tại A, trên AB lấy D, trên AC lấy E sao cho: AD = EC = DE = CB.
a, Nếu AB > 2BC. Tính góc A của VABC
b, Nếu AB < BC. Tính góc A của HBC.
Download tài liệu để xem chi tiết.
Theo Nghị định 147/2024/ND-CP, bạn cần xác thực tài khoản trước khi sử dụng tính năng này. Chúng tôi sẽ gửi mã xác thực qua SMS hoặc Zalo tới số điện thoại mà bạn nhập dưới đây: